The standard first-line treatment for metastatic small-cell lung cancer (SCLC) is platinum-based chemotherapy in combination with etoposide. The aim of this study was to evaluate the real-world effectiveness and safety of atezolizumab plus chemotherapy in SCLC and to explore factors associated with survival.
MethodsA retrospective, observational, multicenter study was conducted in patients diagnosed with SCLC who received first-line treatment with atezolizumab in combination with platinum–etoposide chemotherapy between November 2021 and March 2025. Treatment effectiveness was evaluated by assessing the objective response rate (ORR), treatment duration, progression-free survival (PFS) and overall survival (OS). Univariate and multivariate Cox models were used to explore associations between clinical variables and survival outcomes.
ResultsA total of 76 patients with SCLC were included. Median age was 65 years, and 17.1% had an Eastern Cooperative Oncology Group performance status (ECOG PS) ≥2. The median duration of the treatment was 4.43 months (Interquartile range: 0.4–6.2). The ORR was 81.67% (95% CI: 70.08–89.44%). The median PFS was 7.2 months (95% CI: 6.5–8.6), and the median OS was 9.4 months (95% CI: 7.0–13.06). Patients with ECOG ≥2, hepatic metastases, and age ≥ 65 years were associated with a poor survival prognosis. Sex and the presence of brain metastases were not significantly associated with survival. Grade ≥ 3 treatment-related adverse events were observed in 44.7% patients, with no treatment-related deaths.
ConclusionsIn this real-world cohort, atezolizumab plus platinum–etoposide achieved high response rates and acceptable survival with a manageable safety profile in extensive-stage SCLC. Baseline ECOG performance status, hepatic metastases, and older age were associated with worse survival, underscoring the prognostic value of clinical factors. These observational data complement, but do not validate, the results of IMpower133, as no randomized control group or formal trial emulation methods were used.
El tratamiento estándar en primera línea para el cáncer de pulmón microcítico (CPM) metastásico es la quimioterapia basada en platino combinada con etopósido. El objetivo de este estudio es evaluar la efectividad y seguridad en vida real de atezolizumab más quimioterapia en CPM y explorar factores asociados con la supervivencia.
MétodosSe realizó un estudio retrospectivo, observacional y multicéntrico en pacientes diagnosticados de CPM que recibieron tratamiento de primera línea con atezolizumab combinado con quimioterapia basada en platino y etopósido entre noviembre de 2021 y marzo de 2025. La efectividad se evaluó mediante la tasa de respuesta objetiva (TRO), duración del tratamiento, supervivencia libre de progresión (SLP) y supervivencia global (SG). Se utilizaron modelos de Cox univariantes y multivariantes para explorar las asociaciones entre variables clínicas y los resultados de supervivencia.
ResultadosSe incluyeron un total de 76 pacientes con CPM. La mediana de edad fue de 65 años y el 17,1% presentó un estado funcional ECOG ≥2. La duración mediana del tratamiento fue de 4,43 meses (rango intercuartílico: 0,4-6,2). La TRO fue del 81,67% (IC 95%: 70,08–89,44%). La mediana de SLP fue de 7,2 meses (IC 95%: 6,5–8,6), y la mediana de SG fue de 9,4 meses (IC 95%: 7,0–13,06). Los pacientes con ECOG ≥2, metástasis hepáticas y edad ≥65 años se asociaron con un peor pronóstico de supervivencia. El sexo y la presencia de metástasis cerebrales no se asociaron significativamente con la supervivencia. Se observaron eventos adversos relacionados con el tratamiento de grado ≥3 en el 44,7% de los pacientes, sin registrarse muertes relacionadas con el tratamiento.
ConclusionesEn esta cohorte en vida real, la combinación de atezolizumab con quimioterapia basada en platino y etopósido mostró altas tasas de respuesta, supervivencias aceptables y un perfil de seguridad manejable en CPM metastásico. El estado funcional basal (ECOG), la presencia de metástasis hepáticas y la edad avanzada se asociaron con peores resultados de supervivencia, lo que resalta el valor pronóstico de estos factores clínicos. Estos datos observacionales complementan, pero no permiten validar, los resultados del ensayo IMpower133, dado que no se dispone de un grupo control aleatorizado ni se han aplicado técnicas formales de emulación de ensayos.
Traditionally, the standard first-line treatment for metastatic small-cell lung cancer has been platinum-based chemotherapy (carboplatin or cisplatin) in combination with etoposide.1–3 Since the introduction of immune checkpoint inhibitors, chemoimmunotherapy regimens combining platinum–etoposide with PD-L1 inhibitors such as atezolizumab have become part of the standard of care in this setting. Despite response rates of 60% to 65%, limited progress has been achieved in over two decades; outcomes remain poor, with a median overall survival of approximately 10 months.3,4
Small-cell lung cancer is characterized by a high mutation rate, suggesting that these tumors may be immunogenic and could respond to immune checkpoint inhibitors.5–7 The addition of immunotherapy to chemotherapy may enhance antitumor immunity and improve outcomes beyond those achieved with current treatment options. Indeed, clinical activity of immunotherapy has been observed in patients with relapsed or metastatic small-cell lung cancer in early-phase trials.8–12 However, a phase 2 single-arm study of pembrolizumab maintenance therapy and a phase 3 study of ipilimumab plus chemotherapy did not demonstrate improved efficacy over chemotherapy alone as first-line treatment for extensive-stage small-cell lung cancer.12,13 These setbacks underscored the challenge of translating immunotherapy benefits to the frontline setting, but further investigation continued.
Atezolizumab (Tecentriq, F. Hoffmann–La Roche/Genentech) is a humanized monoclonal antibody targeting programmed death-ligand 1 (PD-L1), which inhibits PD-L1–PD-1 and PD-L1–B7–1 signaling, thereby restoring tumor-specific T-cell immunity.14,15 In a phase 1 trial, atezolizumab monotherapy showed an acceptable safety profile and promising durable responses in patients with relapsed or refractory small-cell lung cancer.10 Subsequently, the phase III IMpower133 trial provided a breakthrough: atezolizumab plus chemotherapy significantly improved survival as first-line therapy. In IMpower133, atezolizumab in combination with platinum–etoposide achieved a median overall survival of 12.3 months versus 10.3 months with chemotherapy alone (HR = 0.70; 95% CI 0.54–0.91; p = 0.007), and a median progression-free survival of 5.2 months versus 4.3 months, respectively (HR = 0.77; 95% CI 0.62–0.96; p = 0.02).14 This was the first regimen in decades to show a survival benefit in extensive-stage SCLC,15 leading to regulatory approval of atezolizumab in the first-line setting and establishing a new standard of care.
However, real-world studies are needed to evaluate the effectiveness of chemo-immunotherapy under routine clinical conditions and to determine whether outcomes are comparable to those observed in clinical trials.16 Initial findings are encouraging. For example, a large retrospective study reported that survival outcomes with first-line atezolizumab plus chemotherapy in routine practice were reproducible and similar to those from IMpower13317 – but further large-scale, long-term data will confirm the generalizability of these benefits.16
The primary objective of this study was to assess the effectiveness and safety of atezolizumab in combination with platinum–etoposide chemotherapy in real-world clinical practice, by evaluating median OS and PFS and comparing the results with those obtained in the IMpower133 clinical trial. The secondary objective was to analyze clinical factors associated with survival. These analyses will be exploratory and descriptive in nature.
MethodsThis was a retrospective, observational, multicenter study of patients with metastatic small-cell lung cancer (SCLC) who received first-line atezolizumab plus platinum–etoposide chemotherapy between November 2021 and March 2025.
To minimize immortal time bias in the comparison of patients who completed induction, we prespecified a landmark analysis. The landmark time (t) was set at 2.8 months (∼12 weeks) from treatment initiation, corresponding to the intended completion of four induction cycles (q3w). All landmark analyses reset time zero at t*.
Eligible patients were adults (≥18 years) with histologically confirmed stage IV or metastatic SCLC, no prior systemic therapy for metastatic disease, and complete clinical records. Patients with incomplete data or a concurrent active malignancy were excluded.
Collected variables included demographics (age, sex), clinical data (ECOG performance status, smoking history, comorbidities, metastatic sites), and treatment details (start and end dates, cycles completed, duration, reason for discontinuation, adverse event [AE] type and severity). Treatment regimens, including the atezolizumab dose, were recorded.
Baseline characteristics were summarized using descriptive statistics: categorical variables as frequencies and percentages, continuous variables as medians (interquartile range, IQR) or means (standard deviation, SD).
This study was designed and reported in accordance with the STROBE statement (Strengthening the Reporting of Observational Studies in Epidemiology).
Data collectionClinical data were retrospectively obtained from the electronic medical records (DIRAYA/JARA) used in routine oncology practice and documented by treating oncologists. The study included patients from three public hospitals — two regional in Extremadura and one tertiary in Andalusia. Clinical data were obtained through a retrospective review of the electronic health records (EHR) at each participating center. Before data extraction, the investigators from the three hospitals agreed on a common case report form (CRF) in Microsoft Excel®. Although the centers use different EHR systems, the use of a predefined CRF with harmonized variable definitions ensured consistency and comparability of the information recorded. At each site, a local investigator extracted the data from the EHR and entered them into the Excel® database according to the CRF. The local databases were then merged into a single anonymized dataset, and a centralized data-cleaning process (checks for inconsistencies, out-of-range values, and missing data) was performed prior to statistical analysis.
Study endpoints and definitionsEffectiveness endpoints included objective response rate (ORR), treatment duration, progression-free survival (PFS), and overall survival (OS). ORR was calculated in evaluable patients, excluding those without imaging data, and was defined as the proportion of patients who achieved complete or partial response as their best radiological response during first-line atezolizumab plus platinum–etoposide, based on routine reports by the treating oncologists. Treatment duration was defined as the time from the first atezolizumab dose to permanent treatment discontinuation for any reason.
PFS was measured from treatment initiation to radiologically confirmed progression or death, and OS from treatment initiation to death from any cause, censoring patients alive at data cutoff. For PFS analyses, the event date corresponded to the first radiological documentation of disease progression, irrespective of whether treatment was continued beyond progression; patients without documented progression or death were censored at the date of the last disease assessment.
Radiological response was assessed by treating oncologists according to RECIST v1.1. A complete response (CR) was defined as the disappearance of all target lesions, and a partial response (PR) as at least a 30% decrease in the sum of diameters of target lesions, taking the baseline sum as reference. In routine practice, treatment continuation beyond radiologic progression was allowed in selected clinically stable patients, at the discretion of the treating physician.
For the landmark at t*, OS analyses included patients alive at t*, and PFS analyses included patients alive and progression-free at t*. The exposure was completion of ≥4 induction cycles on/before t*. Because the exact 4th-cycle date was not available for all patients, we classified exposure by total cycles completed and performed misclassification-robust sensitivity analyses (e.g., a stricter rule requiring event-free survival beyond 3.5 months). Events on/before t* were excluded by design, and post-landmark time was measured from t* to the outcome or censoring.
Safety was assessed by AE incidence, graded per the National Cancer Institute Common Terminology Criteria for Adverse Events v5.0.
Survival analyses and subgroup stratificationSurvival functions were estimated using Kaplan–Meier methods, with log-rank tests for group comparisons. Median survival and 95% confidence intervals (CIs) were reported. Patients were stratified into binary groups for prognostic factors: ECOG (0–1 vs. ≥2), age (<65 vs. ≥65 years), sex, hepatic metastases (yes/no), and brain metastases (yes/no).
For the landmark comparison (completed ≥4 cycles vs. not), Kaplan–Meier curves were generated from t* and groups were compared conditional on landmark eligibility.
Cox regression analysesUnivariable Cox models for OS and PFS estimated HRs with 95% CIs. Multivariable models adjusted for prespecified baseline covariates chosen a priori (age, ECOG, hepatic metastases, brain metastases, sex). Covariates were not selected by univariable p-values; all prespecified covariates were entered simultaneously (no stepwise). Analyses were complete-case; we report n and events per model. Proportional hazards were checked with Schoenfeld residuals; if borderline, ECOG-stratified models were considered. Post-baseline variables (e.g., number of cycles, treatment duration, early toxicity/response) were excluded from primary causal models.
Landmark analysis (to mitigate immortal-time bias). The effect of completing ≥4 induction cycles was evaluated separately using a prespecified landmark. Landmark Cox models were fitted from t* with completion of ≥4 cycles as the exposure and the same baseline covariates as adjusters (age, ECOG, hepatic/brain metastases, sex; center/year when applicable). We did not adjust for post-baseline mediators. Proportional hazards were reassessed with Schoenfeld. As complementary, model-free estimates, we compared RMST up to 12 months post-landmark and performed IPTW using a propensity score for completing ≥4 cycles (age, ECOG, hepatic/brain metastases, sex) with truncated weights. Sensitivity analyses repeated the landmark at 2.6 and 3.0 months and applied a stricter exposure definition.
Statistical considerationsAnalyses used R v4.4.3. A 95% CI upper bound reported as NA indicated insufficient follow-up or heavy censoring.
Survival and Cox regression analyses were performed using data collected up to the cutoff date of March 16, 2025.
Given the retrospective observational design, no formal pre-registered study protocol or statistical analysis plan was available. The primary endpoints (PFS and OS) and the key covariates of interest were defined a priori, but some of the multivariable and sensitivity analyses (such as the landmark analysis and IPTW-adjusted models) should be interpreted as exploratory and hypothesis-generating.
Ethics approvalThe study was approved by the Provincial Research Ethics Committee of Seville (Spain) (Register code: 202599904414345). All patient data were anonymized, and analyses were conducted in accordance with applicable data protection regulations.
ResultsBaseline patient characteristicsAll potentially eligible patients from the three hospitals were included. A total of 76 patients were included, 75% male, mean age of 65 ± 8.8 years. ECOG performance status was 0 in 31.6%, 1 in 51.3%, and ≥ 2 in 17.1%. Regarding smoking history, 64.5% were current smokers, 34.2% former, and 1.3% never smoked. Metastatic disease was present in 97.4%, most commonly in the liver (42.7%), bone (30.7%), adrenal glands (25.0%), and brain (10.5%) (Table 1). A family history of cancer was reported in 32.9%. Frequent comorbidities included hypertension (38.2%), dyslipidemia (26.3%), COPD (18.4%), diabetes (17.1%), ischemic heart disease (10.5%), atrial fibrillation (10.5%), and chronic kidney disease (9.2%).
Baseline characteristics.
| Overall patients (N) | 76 |
| Sex (N, %) | |
| Male | 57 (75) |
| Female | 19 (25) |
| Age (mean, SD) | 65 (8,79) |
| Performance status according with ECOG (N, %) | |
| 0 | 24 (31.58) |
| 1 | 39 (51.32) |
| 2 | 11 (14.47) |
| 3 | 2 (2.63) |
| Metastatic site (N, %) | |
| Liver | 32 (42.7) |
| Bone | 23 (30.7) |
| Adrenal | 19 (25) |
| Brain | 8 (10.53) |
| Other | 15(19.74) |
| Smoking status (N, %) | |
| Current smoker | 49 (64.47) |
| Former smoker | 25 (34.21) |
| Never smoker | 1 (1.32) |
| Number of administered cycles (median, IQR) | 4 (7.0–10.0) |
| Family history of cancer (N, %) | |
| Yes | 25 (32.89) |
| No | 34 |
| Unknown | 17 |
ECOG: Eastern Cooperative Oncology Group.
The median duration of treatment was 4.43 months (interquartile range [IQR]: 0.4–6.2). At the time of analysis, 20 patients (25.97%) remained on active treatment. The median follow-up time for the cohort was 16.7 months (IQR: 13.9–33.5). During the induction phase, 94.74% of patients received carboplatin–etoposide–atezolizumab, while the remaining 5.26% were treated with the same regimen using cisplatin instead of carboplatin. Among patients who did not continue treatment, the reasons for discontinuation were disease progression in 39 patients (51.32%), death in 11 patients (14.47%), and treatment-related toxicity in 5 patients (6.58%). In clinical practice, treatment continuation beyond progression was permitted in some patients showing ongoing clinical benefit.
The ORR was 81.67% (95% CI: 70.08–89.44%). According to RECIST v1.1, a complete response was observed in 1.67% of patients, while 80% achieved a partial response. The remaining 15% did not demonstrate an objective response. A total of 17 patients were excluded from the analysis for not having imaging data.
Survival outcomes in the overall cohortThe median PFS was 7.2 months (95% CI: 6.5–8.6), and the median OS was 9.4 months (95% CI: 7.0–13.06). Kaplan–Meier estimates for PFS and OS in the overall cohort are shown in Fig. 1.
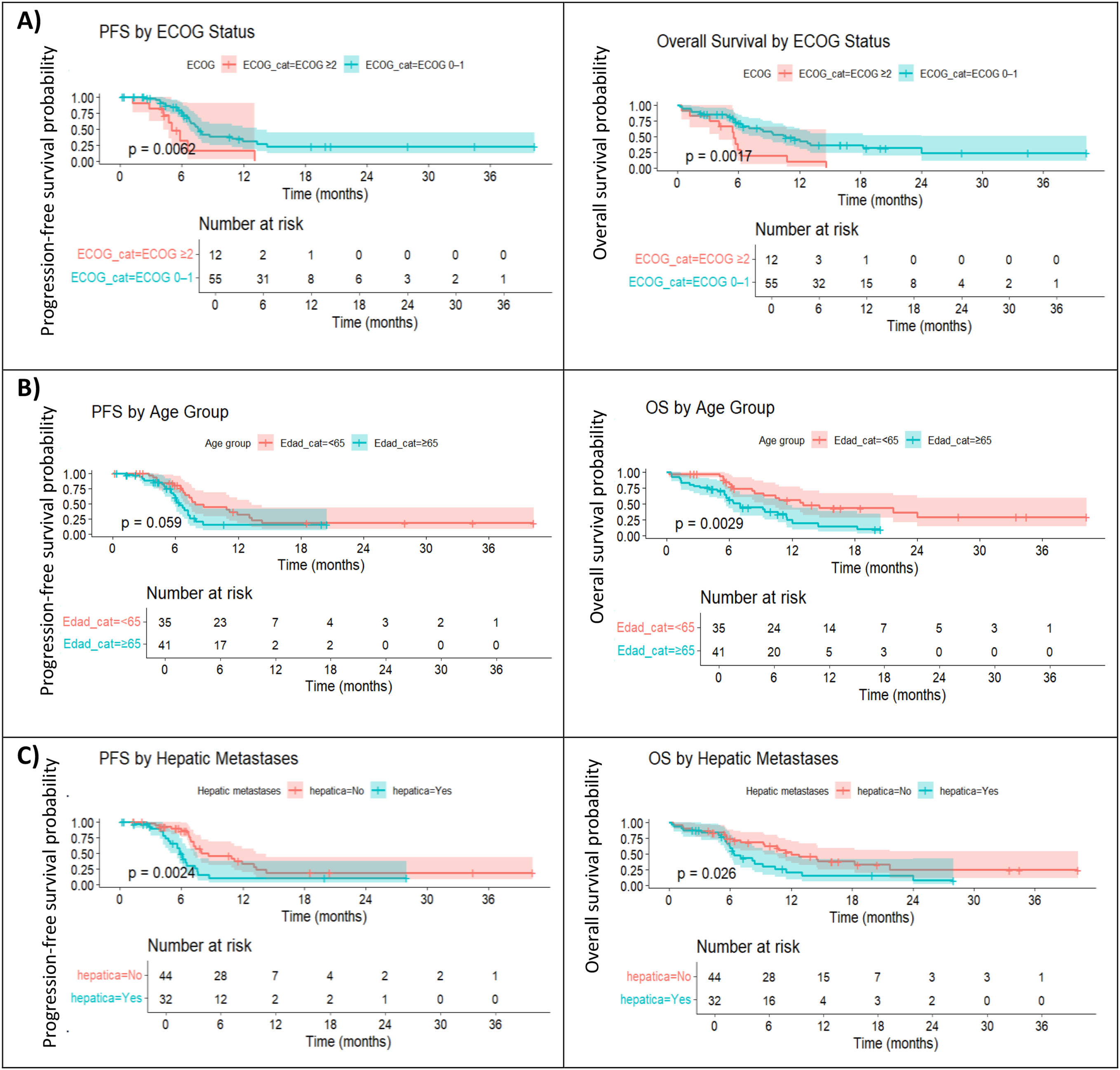
Stratified survival analysis by clinical subgroupsStratified analyses by key clinical variables are shown in Fig. 2. Patients with ECOG ≥ 2 had significantly shorter survival than those with ECOG 0–1, with a median PFS of 5.0 (95% CI: 4.2-NA) vs 7.6 months (95% CI: 6.7–13.3, p = 0.0062) and OS of 5.5 (95% CI: 4.1-NA) vs 10.6 months (95% CI: 8.2-NA, p = 0.0017).
Stratified survival analysis by prognostic subgroups.
(A) PFS and OS by ECOG (panel doble: A1 y A2).
(B) PFS and OS by age (<65 vs ≥65) (B1 y B2).
(C) PFS and OS by hepatic metastases (C1 y C2).
OS: Overall survival; PFS: Progression-free survival; ECOG: Eastern Cooperative Oncology Group.
Patients aged ≥ 65 years had a median PFS of 6.4 months (95% CI: 5.8–8.0) vs 7.9 months (95% CI: 6.9–13.3) in those <65 (p = 0.059) and a median OS of 7.0 months (95% CI: 5.7–11.5) vs 13.1 months (95% CI: 9.3–NA) (p = 0.0029).
Sex was not associated with survival: median PFS was 7.2 months in men and 6.9 months in women (p = 0.91), and median OS was 9.4 vs 9.3 months (p = 0.55).
Liver metastases were associated with worse outcomes. Median PFS was 5.8 months (95% CI: 4.9–7.5) vs 8.0 months (95% CI: 7.2–13.3) without liver involvement (p = 0.0024), and median OS was 6.4 vs 12.0 months (p = 0.026). By contrast, brain metastases showed no significant differences in PFS (11.2 vs 7.2 months, p = 0.89) or OS (9.3 vs 10.4 months, p = 0.84).
Landmark comparison of completion of induction (t* = 2.8 months)Completion of ≥4 cycles was not associated with differences in post-landmark outcomes. PFS: adjusted HR (age + ECOG) 1.72 (95% CI 0.22–13.76), p = 0.61. OS: adjusted HR 0.66 (95% CI 0.14–3.19), p = 0.61. Estimates from IPTW and 12-month RMST were concordant (Table 2). Similar findings were observed with landmarks at 2.6 and 3.0 months and with a stricter exposure definition. Analyses from treatment initiation contrasting ≥4 vs <4 cycles are exploratory and susceptible to immortal time bias; therefore, our interpretation relies primarily on the landmark results. In preplanned sensitivity analyses (IPTW-adjusted Cox models, alternative landmark times and a stricter exposure definition), hazard ratio estimates were directionally consistent with the primary landmark models and did not identify additional prognostic factors.
Landmark comparison (t* = 2.8 months) by completion of ≥4 cycles (primary exposure).
| Estimator | PFS | p | OS | p |
|---|---|---|---|---|
| Cox (adjusted for age + ECOG) | 1.72 (0.22–13.76) | 0.61 | 0.66 (0.14–3.19) | 0.61 |
| IPTW | 1.02 (0.13–8.27) | 0.99 | 0.76 (0.16–3.56) | 0.72 |
| RMST Δ at 12 months | −2.45 (−8.58, 3.69) | 0.43 | +1.11 (−4.19, 6.40) | 0.68 |
(95% Cis in parentheses; RMST values are differences in months at 12 months post-landmark, completed minus not-completed). Notes: Primary estimator = adjusted Cox HR. IPTW uses a propensity model with age, ECOG, liver/brain metastases, and sex (truncated weights). RMST Δ is the mean survival (completed – not completed).
ECOG: Eastern Cooperative Oncology Group; IPTW: (Inverse Probability of Treatment Weighting); RMST: (Restricted Mean Survival Time); PFS: Progression-free survival; OS: overall survival.
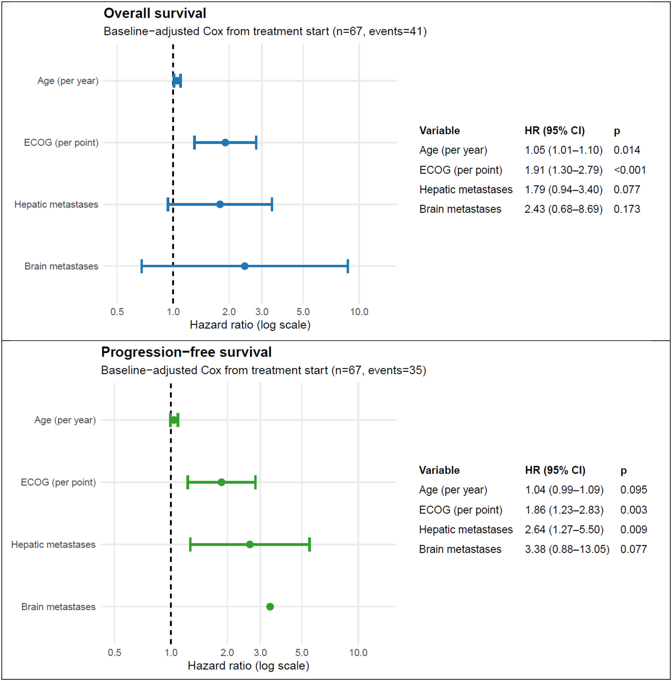
For OS, baseline ECOG ≥2 was associated with nearly a threefold higher mortality risk versus ECOG 0–1 (HR 2.96; 95% CI 1.45–6.01; p = 0.0028), and age ≥ 65 years was also associated with higher risk (HR 2.50; 95% CI 1.34–4.67; p = 0.0038). Hepatic metastases were significantly associated with worse OS (HR 1.83; 95% CI 1.02–3.27; p = 0.041), whereas brain metastases were not significant. Sex was not estimable in univariable models due to the lack of variation among complete cases.
For PFS, ECOG ≥2 was independently associated with a higher risk of progression or death (HR 2.97; 95% CI 1.31–6.72; p = 0.009), and hepatic metastases were also independently associated with shorter PFS (HR 2.30; 95% CI 1.25–4.23; p = 0.0076). Age ≥ 65 years was not statistically significant (HR 1.80; 95% CI 0.97–3.32; p = 0.061), and brain metastases were not significant. Sex was not estimable among complete cases.
Multivariate Cox regression analysisBaseline-adjusted models (age, ECOG, hepatic metastases, brain metastases; sex prespecified but not estimable for the same reason) identified age and ECOG as independent predictors of worse OS, and ECOG plus hepatic metastases for PFS. Proportional-hazards assumptions were satisfied (global Schoenfeld test: OS p = 0.93; PFS p = 0.50). Analyses were complete-case (n = 67). Post-baseline variables (e.g., number of cycles, treatment duration) were not included (Fig. 3).
Multivariable Cox models from treatment start. Forest plots show adjusted hazard ratios (HRs) with 95% confidence intervals on a log scale. Right-hand table reports HR (95% CI) and p-values. Models were adjusted for age (per year), ECOG (per point), hepatic and brain metastases; sex was prespecified but not estimable among complete cases. Proportional-hazards assumptions were satisfied (global Schoenfeld: OS p = 0.93; PFS p = 0.50). Complete-case n and the number of events are shown in the subtitles. Post-baseline variables (e.g., number of cycles) were not included.
ECOG: Eastern Cooperative Oncology Group.
Landmark-based multivariable analysis (t* = 2.8 months). In Cox models fitted from the landmark, completion of ≥4 cycles was not independently associated with post-landmark PFS or OS after adjustment for baseline covariates (see Landmark comparison and Table 2).
SafetyOverall, 76 patients were included in the safety analysis. Adverse events were reported in 61 patients (80.3%). Commonly reported adverse events are shown in Table 3. Adverse events of grade 3 or higher were reported in 34 patients (44.7%). Immunomediated adverse effects occurred in 6 patients (7.9%). Adverse events leading to the discontinuation of the treatment were reported in 14 patients (18.4%). No adverse events resulting in death occurred.
Adverse events.
| ALL N = 76 | Any grade n (%) | Grade 3 n ((%) | Grade 4 n (%) | Grade 5n (%) |
|---|---|---|---|---|
| Any adverse event | 61 (80.3%) | 32 (42.1%) | 5 (6.6%) | 0 (0%) |
| Blood and lymphatic system disorders | ||||
| Anemia | 29 (38.2%) | 12 (15.8%) | 0 (0%) | 0 (0%) |
| Neutropenia | 25 (32.9%) | 14 (18.4%) | 2 (2.6%) | 0 (0%) |
| Thrombocytopenia | 15 (19.7%) | 5 (6.6%) | 0 (0%) | 0 (0%) |
| Pancytopenia | 3 (3.9%) | 1 (1.3%) | 1(1.3%) | 0 (0%) |
| Febrile neutropenia | 5 (6.6%) | 2 (2.6%) | 0 (0%) | 0 (0%) |
| Gastrointestinal disorders | ||||
| Nausea | 7 (9.2%) | 0 (0%) | 0 (0%) | 0 (0%) |
| Vomiting | 1 (1.3%) | 0 (0%) | 0 (0%) | 0 (0%) |
| Diarrhea | 5 (6.6%) | 0 (0%) | 0 (0%) | 0 (0%) |
| Mucositis | 4 (5.3%) | 0 (0%) | 0 (0%) | 0 (0%) |
| Hepatobiliary disorders | ||||
| Hyperbilirubinemia | 1 (1.3%) | 0 (0%) | 0 (0%) | 0 (0%) |
| GGT elevation | 5 (6.6%) | 0 (0%) | 0 (0%) | 0 (0%) |
| ALT elevation | 2 (2.6%) | 1 (1.3%) | 0 (0%) | 0 (0%) |
| AST elevation | 2 (2.6%) | 1 (1.3%) | 0 (0%) | 0 (0%) |
| Hepatitis | 2 (2.6%) | 2 (2.6%) | 0 (0%) | 0 (0%) |
| Skin and subcutaneous tissue disorders | ||||
| Dermatitis | 1 (1.3%) | 0 (0%) | 0 (0%) | 0 (0%) |
| Skin rash | 1 (1.3%) | 0 (0%) | 0 (0%) | 0 (0%) |
| Alopecia | 2 (2.6%) | 0 (0%) | 0 (0%) | 0 (0%) |
| Infections | ||||
| Urinary sepsis | 1 (1.3%) | 1 (1.3%) | 0 (0%) | 0 (0%) |
| Endocrine disorders | ||||
| Hyperthyroidism | 2 (2.6%) | 0 (0%) | 0 (0%) | 0 (0%) |
| Hypothyroidism | 1 (1.3%) | 0 (0%) | 0 (0%) | 0 (0%) |
| Disorders of metabolism and nutrition | ||||
| Decreased appetite | 5 (6.6%) | 0 (0%) | 0 (0%) | 0 (0%) |
| Hypokalemia | 10 (13.2%) | 0 (0%) | 2 (2.6%) | 0 (0%) |
| Hyponatremia | 4 (5.3%) | 2 (2.6%) | 1 (1.3%) | 0 (0%) |
| Hypomagnesemia | 1 (1.3%) | 0 (0%) | 0 (0%) | 0 (0%) |
| Hypocalcemia | 1 (1.3%) | 0 (0%) | 0 (0%) | 0 (0%) |
| Hypercalcemia | 1 (1.3%) | 0 (0%) | 0 (0%) | 0 (0%) |
| Hyperglycemia | 1 (1.3%) | 1 (1.3%) | 0 (0%) | 0 (0%) |
| General disorders | ||||
| Asthenia | 35 (40.1%) | 2 (2.6%) | 0 (0%) | 0 (0%) |
| Musculoskeletal disorders and connective tissue disorders | ||||
| Arthralgias | 2 (2.6%) | 0 (0%) | 0 (0%) | 0 (0%) |
| Central nervous system disorders | ||||
| Neuropathy | 1 (1.3%) | 0 (0%) | 0 (0%) | 0 (0%) |
| Kidney and urinary disorders | ||||
| Elevation of blood creatinine | 1 (1.3%) | 0 (0%) | 0 (0%) | 0 (0%) |
GGT: gamma-glutamyl transferase; ALT: alanine aminotransferase; AST: Aspartate aminotransferase.
In our study, the median OS was 9.4 months (95% CI: 7.0–13.1), somewhat shorter than the 12.3 months (95% CI: 10.8–15.9) reported in IMpower133.14 This difference may reflect distinct baseline profiles, particularly the inclusion of patients with poorer performance status—17.1% had ECOG ≥ 2, a group excluded from IMpower133, which enrolled only ECOG 0–1. Other real-world factors, such as higher comorbidity burden and less frequent imaging, may also have contributed.
Conversely, median PFS was longer in our series (7.2 months; 95% CI: 6.5–8.6) vs 5.2 months (95% CI: 4.4–5.6) in IMpower133,14 possibly due to practices like continuing immunotherapy beyond radiologic progression in selected patients or differences in imaging schedules outside trial settings.
Our findings align with other observational studies. Falchero et al. reported median OS and PFS of 11.3 and 5.2 months, respectively; only 11% of their cohort had ECOG ≥ 2 vs 17.1% in ours, which may partly explain their superior OS.17 The Italian MAURIS study, on a broadly similar population, showed median OS of 10.7 months (95% CI: 9.9–13.7) and PFS of 5.5 months (95% CI: 5.3–5.8).18
In contrast, Shiono et al. documented longer OS (15.9 months; 95% CI: 11.8–18.3) and PFS (5.4 months; 95% CI: 4.6–5.9), likely related to patient selection, age distribution, and follow-up methods.19 Similarly, Lee et al. reported OS and PFS of 12.0 and 4.6 months, respectively, underscoring the heterogeneity of real-world populations.20
Our ORR was also notably higher (81.7%; 95% CI: 70.1–89.4) than in IMpower133 (60.2%). This difference may be influenced by more heterogeneous response evaluation criteria in real-world settings and the absence of mandatory radiologic confirmation, unlike the strict protocol-driven approach of clinical trials. Despite these variations, the median treatment duration in our study (4.4 months) was comparable to that observed in IMpower133, suggesting similar exposure to the therapeutic regimen.14
These findings highlight the value of observational studies in complementing clinical trial data, offering a more pragmatic view of treatment performance in routine oncology practice.
Baseline functional status, as measured by ECOG, was associated with survival. Patients with ECOG ≥ 2 had significantly shorter PFS and OS than those with ECOG 0–1. Since IMpower133 excluded ECOG ≥ 2 patients, our findings add real-world context for this regimen in frailer groups. In the IMpower-133-like population (PS 0–1), median OS and PFS were 11.9 and 5.3 months, respectively.14 Similar results from other studies confirm ECOG ≥ 2 is linked to higher risks of progression and death.21,22,17 Masubuchi et al. also found that good PS at relapse predicts longer survival, reinforcing ECOG ≥ 2 as a marker of poor outcomes and the need for selective treatment in vulnerable SCLC patients.23
Age also appeared to impact OS, with significantly poorer outcomes in patients ≥ 65 years in our analysis. No statistically significant differences in PFS were found between age groups. Age-related survival effects vary. Shiono et al. reported similar survival for patients ≥ 70 vs < 70 years and no differences within elderly subgroups.19 Noivo et al. found no association between age and survival or response rate,21 while Choi et al. found no prognostic value of age for PFS or OS.22 Chen et al. showed similar benefit from atezolizumab in those > 65.24 Wang et al. associated increasing age with better PFS, but not OS.25 In contrast, Falchero et al. identified age as a significant OS predictor, with patients > 65 showing shorter survival (median OS 9.8 vs 13.2 months; HR = 1.26, p = 0.03).17 Overall, most studies do not show a consistent negative effect of age.
In adjusted models, sex was not estimable due to the absence of women among complete cases; unadjusted summaries showed no clear differences. A recent Portuguese study found no significant differences in PFS (p = 0.828) or OS (p = 0.782) by sex.21 Similarly, several studies did not associate sex with survival.19,22,25
In multivariable models, hepatic metastases were an independent predictor of shorter PFS, but showed no significant association with OS. This aligns with univariable analyses, which also showed worse PFS—and, at the unadjusted level, worse OS—in patients with hepatic metastases. In the IMpower133 trial, patients with liver metastases had lower OS (9.3 vs 16.8 months) and PFS (4.3 vs 5.6 months).14 Musicco et al. found significant OS differences between patients with and without liver metastases (6.6 vs 15.9 months; p < 0.001).26 In contrast, Masubuchi et al. and Wang et al. reported no association with PFS, likely due to small samples.23,25
In our cohort, baseline brain metastases did not significantly influence survival. This may relate to the small subgroup or confounders such as prior radiotherapy or selection bias. Falchero et al. similarly found no OS difference (9.9 vs 11.6 months; p = NS), though their multivariate analysis identified brain metastases as a predictor of shorter PFS (HR 1.3; 95% CI: 1.0–1.6; p = 0.02). Brain metastases were more frequent in their cohort (27%) than in ours (10.5%). Likewise, an exploratory IMpower133 analysis (∼8% with brain metastases) found no OS or PFS differences (HR 1.07; 95% CI: 0.47–2.43).14
Treatment duration did not independently influence survival in our analysis. Completion of ≥4 cycles (full induction) was not associated with differences in post-landmark outcomes. In contrast, Musicco et al. and Wang et al. observed longer OS (14.1 vs 4.7 months, p < 0.001) and improved PFS and OS, respectively, in patients completing all induction cycles.25,26 However, both studies analyzed treatment duration without accounting for immortal time bias, which may overestimate the survival benefit in patients able to receive more cycles. By contrast, our landmark approach suggests that longer treatment duration likely reflects better baseline prognosis or better treatment tolerance rather than a causal effect of additional cycles.
Both univariate and multivariate analyses identified baseline ECOG performance status as the strongest prognostic factor in patients with extensive-stage small-cell lung cancer treated with chemoimmunotherapy. In univariate analysis, ECOG ≥2, age ≥ 65 years, and hepatic metastases were all significantly associated with increased mortality. After multivariate adjustment, ECOG ≥2 and age ≥ 65 years remained independently associated with worse overall survival, underscoring the impact of baseline functional and physiological status on outcomes.
For progression-free survival, ECOG ≥2 was consistently associated with a higher risk of progression or death in both univariate and multivariate models, while age ≥ 65 years was not significantly associated with survival after adjustment. The presence of brain metastases did not show a meaningful association with either outcome. Hepatic metastases emerged as a relevant prognostic factor, being significantly associated with shorter PFS, consistent with their established negative prognostic impact in SCLC.
Taken together, these results highlight the prognostic value of baseline functional status and the adverse impact of hepatic involvement, while suggesting that chronological age alone has a more pronounced influence on overall rather than progression-free survival.
Our sensitivity analyses (IPTW-adjusted and landmark models) supported the robustness of these associations but do not allow the definition of formal selection criteria or specific patient subgroups expected to obtain “optimal” health outcomes with atezolizumab-based chemoimmunotherapy.
In terms of safety, the profile of the most frequent adverse events in the IMpower133 trial was similar to that of our cohort, with hematologic toxicity being the most common, followed by gastrointestinal toxicity.14 In the clinical trial, the incidence of adverse events was slightly higher than in our cohort (94.9% vs. 80.3%), as was the incidence of immune-mediated adverse events (39.9% vs. 7.9%), and the proportion of treatment-related deaths (1.5% vs. 0%). This could be related to the smaller sample size, which limits the detection of rare events. In addition, differences in study design, patient selection, and duration of follow-up may have influenced the identification and recording of toxicity. In actual clinical practice, adverse events are often less systematized and reported than in clinical trials.
LimitationsThis study has several limitations. Its retrospective observational nature and the absence of a control group preclude formal causal inference and leave room for residual confounding and selection bias, despite the use of multivariable Cox models, IPTW and a prespecified landmark time. The relatively small sample size, particularly in subgroups such as patients with ECOG ≥2 or brain metastases, reduces the statistical power to detect meaningful differences. Subgroup and multivariable analyses were not adjusted for multiplicity and should be interpreted descriptively and as hypothesis-generating. Radiological assessments were performed in routine clinical practice, which may introduce variability in response evaluation. Finally, no prospectively specified, registered protocol or statistical analysis plan was available; although the main endpoints and key covariates were predefined, some analyses were necessarily data-driven, and the results should be viewed as exploratory.
ConclusionsThis real-world study describes the effectiveness and safety of atezolizumab plus platinum–etoposide in extensive-stage SCLC, showing high response rates and acceptable survival in a heterogeneous routine-practice population. Median PFS was similar to that reported in IMpower133, whereas median OS was numerically shorter, which is consistent with the inclusion of patients with poorer performance status (ECOG ≥2) and other real-world complexities. Baseline ECOG performance status and older age were independently associated with worse overall survival, while hepatic metastases were an independent predictor of shorter progression-free survival. Sex showed no clear effect (not estimable in adjusted models), and brain metastases were not significantly associated with outcomes. In a prespecified landmark analysis, completing ≥4 induction cycles was not independently associated with post-landmark PFS or OS, suggesting that longer treatment duration may primarily reflect better baseline prognosis or treatment tolerance.
These findings add pragmatic evidence on the use of atezolizumab-based chemoimmunotherapy in everyday oncology practice and help to refine clinical prognostic factors in extensive-stage SCLC. However, the absence of a randomized control group and the lack of formal trial emulation mean that our results should be interpreted as complementary to, rather than validating, the IMpower133 trial.
Contribution to scientific literatureThis study provides real-world evidence on the effectiveness and safety of atezolizumab in combination with platinum and etoposide for patients with metastatic small-cell lung cancer. It complements clinical trial data by confirming its applicability in routine practice and identifying baseline clinical variables associated with treatment outcomes. These findings enhance the understanding of patient profiles that may benefit most, contributing to the advancement of personalized oncology and more accurate therapeutic decision-making.
The findings have relevant implications for clinical practice, supporting the integration of atezolizumab-based regimens as a standard option in real-world settings. They also highlight the importance of identifying predictive factors to refine patient selection and improve outcomes. For research, the study opens avenues for further exploration of biomarkers and treatment optimization strategies. From a healthcare policy and hospital pharmacy perspective, the data support informed resource allocation and the rational use of immune-oncology therapies, aligning with efficiency and sustainability goals.
CRediT authorship contribution statementLaura Moñino Domínguez: Writing – review & editing, Writing – original draft, Visualization, Validation, Supervision, Software, Resources, Project administration, Methodology, Investigation, Funding acquisition, Formal analysis, Data curation, Conceptualization. Laura Amaro Álvarez: Writing – review & editing, Writing – original draft, Visualization, Validation, Supervision, Software, Resources, Project administration, Methodology, Investigation, Funding acquisition, Formal analysis, Data curation. Alicia Aguado Paredes: Writing – review & editing, Writing – original draft, Visualization, Validation, Supervision, Software, Resources, Project administration, Methodology, Investigation, Funding acquisition, Formal analysis, Data curation. Isabel María Carrión Madroñal: Visualization, Validation, Supervision, Methodology, Conceptualization.
FundingThis research received no specific grant from any funding agency in the public, commercial or not-for-profit sectors.
The authors declare that they have no conflicts of interest.



