To assess changes in quality of life in patients with rare disease hereditary transthyretin amyloidosis after initiating vutrisiran. Secondary objectives included evaluating effectiveness and safety.
MethodsProspective, observational study, conducted in a real-world clinical setting between November 2023 and May 2024. Quality of life was assessed using Norfolk QOL-DN questionnaire at baseline and six months after treatment initiation. Statistical analysis was performed using SPSS Statistics®, and the Wilcoxon signed-rank test was applied to compare outcomes.
ResultsTwenty-five patients were included. The median Norfolk QOL-DN score changed from 54 [40.5; 77.5] to 48 [32.0; 83.0] after six months (p = 0.935). NIS scores decreased from 41 [14.0; 70] to 22 [6.0; 66.5] (p = 0.177). Serum TTR levels were maintained or reduced to undetectable levels in all patients. NT-proBNP decreased from 464.0 [102.0; 827.0] to 345.0 pg/mL [146.0; 995.0] (p = 0.518). No treatment-related adverse events were reported.
ConclusionAlthough statistical significance was not reached, vutrisiran maintained or improved quality of life and clinical status in a real-world population that was more pretreated and had greater disease burden than the clinical trial. Combined with its favorable safety profile, subcutaneous administration, and extended dosing interval—preferred by patients—vutrisiran represents a promising therapeutic option for ATTRv amyloidosis. Long-term real-world studies are warranted to confirm these findings.
Evaluar los cambios en calidad de vida en pacientes con amiloidosis hereditaria por transtiretina tras iniciar vutrisirán. Objetivos secundarios fueron la efectividad y seguridad.
MétodosEstudio prospectivo, observacional en vida real, realizado entre noviembre 2023-mayo 2024. La calidad de vida se evaluó mediante cuestionario Norfolk QOL-DN al inicio y a los seis meses del tratamiento. El análisis estadístico se realizó con SPSS Statistics® y se aplicó la prueba de rangos con signo de Wilcoxon.
ResultadosSe incluyeron 25 pacientes. La mediana de la puntuación Norfolk QOL-DN pasó de 54 [40.5;77.5] a 48 [32.0;83.0] (p = 0.935). La puntuación NIS disminuyó de 41 [14.0;70.0] a 22 [6.0;66.5] (p = 0.177). La TTR sérica se mantuvo o redujo a niveles indetectables en todos los pacientes. El NT-proBNP disminuyó de 464.0 a 345.0 pg/mL (p = 0.518). No hubo eventos adversos relevantes.
ConclusiónAunque no se alcanzó significancia estadística, el tratamiento permitió mantener o mejorar la calidad de vida y el estado clínico en vida real, población más pretratada y mayor carga de enfermedad que en ensayos clínicos. Sumado a su perfil de seguridad favorable, administración subcutánea sin premedicación y dosificación prolongada—preferidas por los pacientes—vutrisiran se perfila como una opción terapéutica prometedora. Se requieren estudios más a largo plazo para confirmar estos hallazgos.
Hereditary transthyretin amyloidosis (ATTRv) is a rare, progressive, and potentially fatal multisystemic genetic disorder. It is caused by pathogenic variants in the TTR gene. These mutations lead to transthyretin misfolding and subsequent amyloid deposition in multiple organs and tissues (including nerves, heart, gastrointestinal tract, and musculoskeletal system.1,2) The estimated prevalence in the European Union is 0.14 cases per 10,000 inhabitants, though there are endemic regions with higher concentrations, such as Portugal and Sweden.3 The disease exhibits autosomal dominant inheritance and typically manifests clinically between the second and fifth decades of life. The most common variant in Europe is Val50Met (also known as Val30Met).3
ATTRv typically includes sensory-motor and autonomic polyneuropathy, cardiomyopathy, or a combination of both.
In recent years, different therapies have been approved for ATTRv: TTR stabilizers (tafamidis and diflunisal) or TTR inhibitors like gene silencers (inotersen and eplontersen), and siRNA molecules (patisiran and vutrisiran).1
Vutrisiran is recently indicated for the treatment of ATTRv-associated polyneuropathy Coutinho stages 1–2, and its indication has been expanded to cardiomyopathy.4 It is administered subcutaneously at a dose of 25 mg every three months.4
The efficacy and safety of vutrisiran were evaluated in HELIOS-A,5 a phase III non-inferiority trial comparing vutrisiran to patisiran (3:1), which included comparison of vutrisiran patients in HELIOS-A to the placebo arm of the APOLLO trial. The APOLLO6 was a phase III trial assessing the efficacy and safety of patisiran versus placebo.
In HELIOS-A trial,5 vutrisiran demonstrated statistically significant improvements compared with the APOLLO external placebo group across all prespecified efficacy endpoints (p = 0.0001). These endpoints included the modified Neuropathy Impairment Score + 7 (mNIS+7), Norfolk Quality of Life–Diabetic Neuropathy (Norfolk QOL-DN), 10-m walk test, modified body mass index (mBMI), and the Rasch-built Overall Disability Scale (R-ODS).
Additionally, vutrisiran showed non-inferiority to patisiran, with a similar reduction in serum TTR levels across all subgroups.
The evaluation of innovative therapies must extend beyond clinical efficacy to consider their impact on patients' quality of life. In the context of ATTRv, a rare and progressive condition, patient-reported outcomes are essential to capture the real-world benefits of treatment. Pivotal clinical trials of vutrisiran have incorporated validated instruments such as the Norfolk QOL-DN, EuroQoL5D and EuroQoL-VAS.
The primary aim of this study was to evaluate, in a real-world population, the changes in quality of life after initiating treatment with vutrisiran using Norfolk-QOL-DN. As a secondary objective, we describe effectiveness, safety and patient treatment preferences with vutrisiran.
MethodologyThis is an observational, analytical, prospective study that included all patients who initiated vutrisiran for ATTRv between November 2023 and May 2024.
Demographic and clinical characteristics were collected, including age, sex, diagnosis, geographic origin, time from diagnosis to initiation of vutrisiran, polyneuropathy stage according to Coutinho et al.2 (ranging from 0:asymptomatic to 3:wheelchair or bed-bound), genotype, prior treatments, reasons for discontinuation, and the presence of cardiac involvement by predefined criteria (left ventricular wall thickness ≥ 13 mm without hypertension or valve disease).
The primary outcome was measured using Norfolk-Qol-DN7 at baseline and six months after initiating vutrisiran. This questionnaire is validated and used in pivotal trials as well as in real-world studies, which predominantly included Spanish and Portuguese populations.7 It assesses neuropathy symptoms and daily living activities, producing a score from −4 to 136, where higher scores indicate worse quality of life.
Secondary outcomes collected at baseline and at six months included the NIS, PND (Polyneuropathy Disability) score, levels of N-terminal pro–B-type natriuretic peptide (NT-proBNP), and serum TTR levels and an exploratory variable aimed at assessing patient administration preferences of their treatment vs patisiran. The questionnaire used is a customized adaptation of the Patient Preference Questionnaire (PPQ©),8 which has been employed in clinical trials such as subcutaneous rituximab.8 Participants were asked which route of administration they preferred (intravenous vs subcutaneous), the reasons for their choice, and how this impacted their daily life on a scale from 1 to 5, with 5 representing the greatest benefit.
Data were extracted from electronic health records and electronic prescribing systems. Results are expressed as median or mean with corresponding confidence intervals (CIs) or standard deviations (SD). A p < 0.05 was considered statistically significant. Statistical analysis was performed using SPSS Statistics® and the Wilcoxon signed-rank test to compare outcomes.
The study was approved by the hospital's Research Ethics Committee, and informed consent was obtained from all participants.
ResultsA total of 27 patients initiated vutrisiran during the study period. One declined participation and one died, leaving 25 patients for analysis. Baseline demographic and clinical characteristics are summarized in Table 1.
Baseline and clinical characteristics of patients treated with vutrisiran.
| Variable | N = 25 |
|---|---|
| Age (years), mean ± SD | 66 ± 12 |
| Male, n (%) | 14 (56.0) |
| Geographical origin, n (%) | |
| European | 23 (92.0) |
| Southamerican | 2 (8.0) |
| Time from diagnosis to initiation of vutrisiran (years) mean ± SD | 6 ± 3 |
| Coutinho Stage, n (%) | |
| I | 12 (48.0) |
| II | 13 (52.0) |
| Genotype, n (%) | |
| Val30Met | 13 (52.0) |
| Ser97Tyr | 3 (12.0) |
| Others | 9 (36.0) |
| Previous specific treatment, n (%) | |
| Yes | 24 (96.0) |
| No (naïve) | 1 (4.0) |
| Previous TTR stabilizers treatment, n (%) | |
| Tafamidis | 15 (56.0) |
| Diflunisal | 3 (12.0) |
| Previous inhibitor treatment, n (%) | |
| Patisiran | 15 (60.0) |
| Inotersen | 1 (4.0) |
| Neuropathy Impairment Score (NIS), n (%) | |
| <50 | 14 (56.0) |
| 50–100 | 8 (32.0) |
| >100 | 3 (12.0) |
| PND score (Polyneuropathy Disability), n (%) | |
| I | 9 (36.0) |
| II | 4 (16.0) |
| IIIA | 7 (28.0) |
| IIIB | 5 (20.0) |
| NT-proBNP (pg/ml) median-CI | 464.0 (102.0; 827.0) |
| Cardiac involvement, n (%) | 20 (80.0) |
SD: Standard deviation; CI: Confidence interval.
All but one patient had received at least one prior treatment. Nine switched from tafamidis. In all these cases, treatment was discontinued due to disease progression or worsening, except for one patient who discontinued tafamidis due to gastrointestinal toxicity. In addition, 16 patients switched from patisiran and 1 from inotersen. The main reason for these switching being treatment convenience.
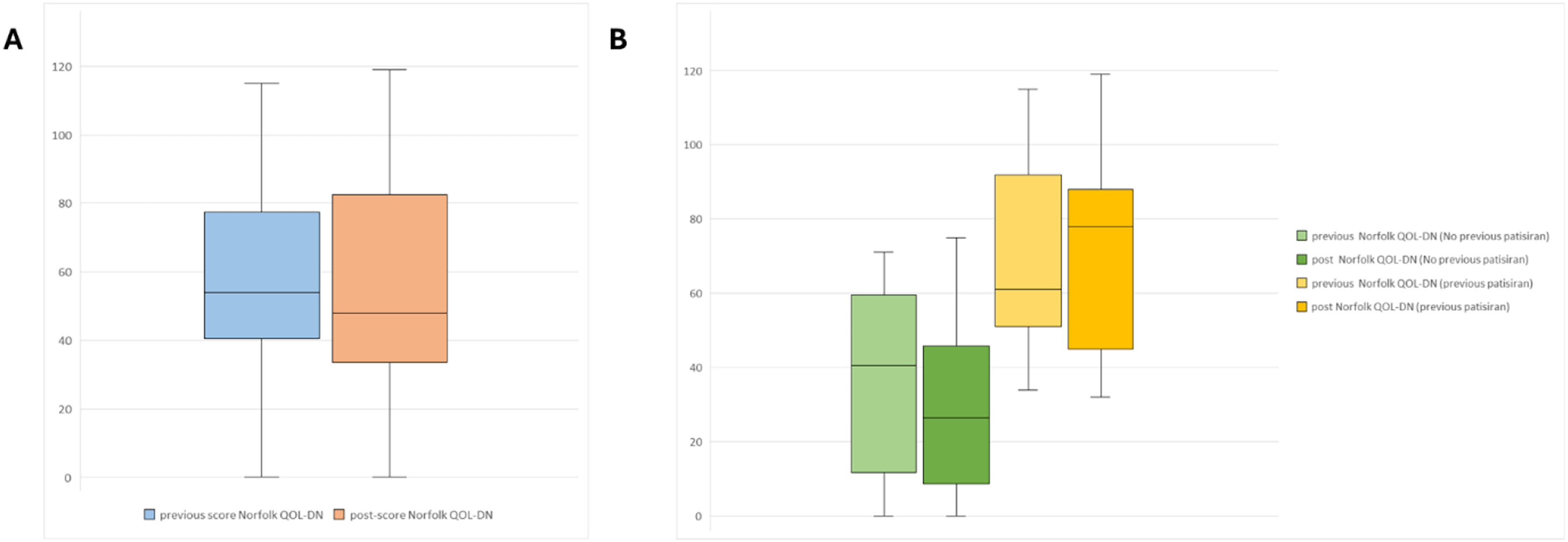
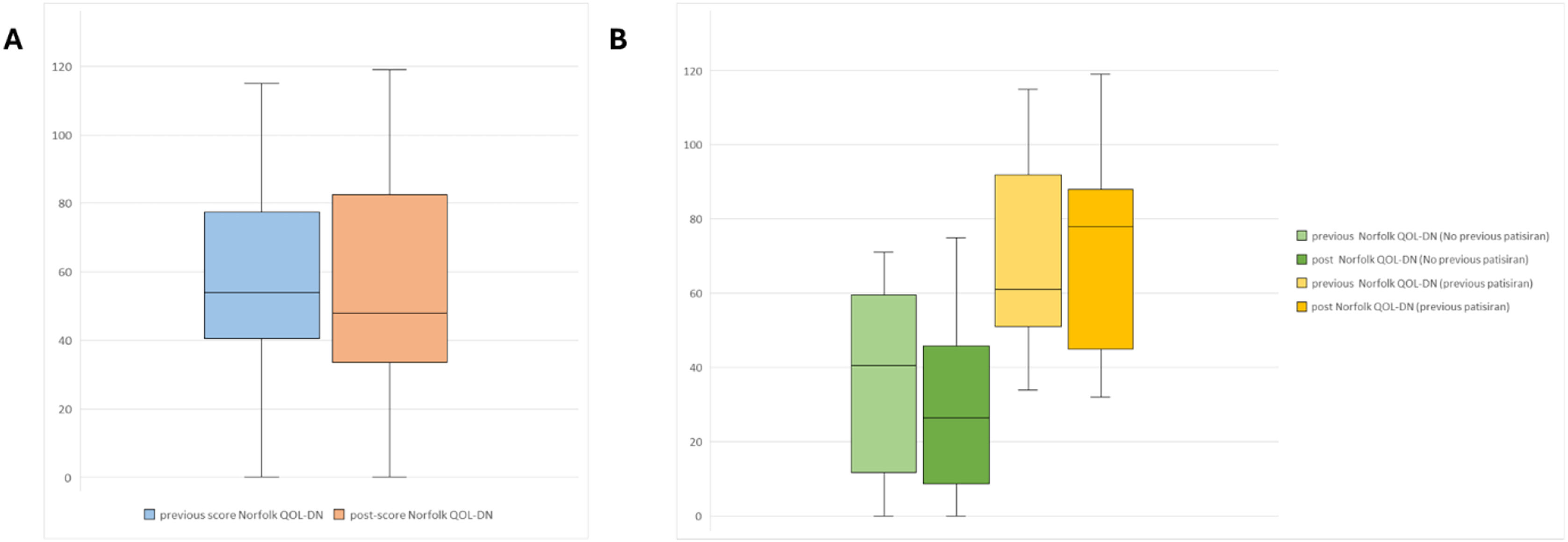
The baseline score on the Norfolk QOL-DN questionnaire prior to initiating vutrisiran treatment was a median of 54 [40.5;77.5]. After six months of treatment, the median score was 48 [32.0;83.0]; this reduction was not statistically significant (p = 0.935). This and subgroup analyses, based on prior TTR inhibitor treatment, are presented in Fig. 1.
Regarding administration preference, all 15 surveyed preferred the subcutaneous route. The main reasons shared by all were treatment convenience, time savings at the hospital, and dosing frequency. Concerning the impact of this new administration method on daily life, the mean score was 4.0 ± 0.8.
In terms of effectiveness, a reduction or maintenance of serum TTR at undetectable levels was achieved in all patients after six months of treatment. Before initiating vutrisiran, 14 patients already had undetectable serum TTR; of these, 13 had previously received patisiran and 1 tafamidis. In contrast, 11 patients presented detectable TTR levels, most of whom had been treated with tafamidis (n = 9), and one had received inotersen and another patisiran.
The median NIS at baseline was 41 [14.0;70] and 22 [6.0;66.5] after six months (p = 0.177). The median NT-proBNP at baseline was 464.0 pg/mL [102.0;827.0] and 345.0 pg/mL [146.0;995.0] at six months, with a non-significant variation (p = 0.518).
Lastly, no relevant adverse events were reported during the follow-up period.
DiscussionAlthough our results did not reach statistical significance, we observed no deterioration in quality of life and evidence of clinical stability.
In our cohort, the mean reduction was −1.5 ± 18.1, compared with −3.3 ± 1.7 observed at nine months in the vutrisiran arm of HELIOS-A.5 Subgroup analysis revealed that improvement in quality of life was more pronounced in patients without prior TTR inhibitor therapy, although stability was maintained even in these cases. These findings are particularly relevant given the real-world nature of this study.
In HELIOS-A trial, changes in Norfolk QOL-DN were assessed against a placebo arm and predominantly treatment-naïve patients, whereas nearly all patients in our cohort had received prior therapy, with 60.0% previously treated with a TTR inhibitor. Moreover, our patients were older, had a longer disease duration, and exhibited a greater disease burden than those in the vutrisiran group of HELIOS-A, where the proportion with NIS ≥ 50 was 44.0% vs 34.6% in our cohort, and cardiac involvement was lower (44.3% vs 80.0%).
Taken together, these differences suggest a reduced margin for improvement in quality of life in our population.
Regarding effectiveness, variables related to neuropathy and cardiomyopathy either stabilized or showed some improvement, though without reaching statistical significance. Serum TTR reduction reflects the biological efficacy and has been associated with neurological response.9 In our study, vutrisiran led to undetectable TTR levels in patients who had not previously received patisiran, even in those patients with patisiran and inotersen who did not reach undetectable levels and maintained undetectable levels in those who had, supporting HELIOS-A trial findings of non-inferiority to patisiran.
Limitations of this study include the small sample size, inherent to the rarity of the disease, and the shorter follow-up period compared with pivotal trials. However, as noted above, the expected margin for improvement in our cohort was smaller than in those trials, making extended follow-up less critical for detecting meaningful changes.
ATTRv amyloidosis follows an aggressive clinical course marked by rapid progression and a decline in functional capacity.10,11 Significant worsening of quality of life has been documented in placebo groups of clinical trials and in the natural history of the disease, highlighting the need for early and effective interventions.10 In this context, the assessment of patient quality of life is essential, and hospital pharmacists play a key role in evaluating quality of life and patient preferences, integrating clinical outcomes with patient-reported measures to generate real-world evidence.
Vutrisiran has demonstrated potential, both in HELIOS-A trial and in our cohort, where even modest improvements or stabilization in patient-reported outcomes may represent meaningful clinical benefit and improve or maintain quality of life. Additionally, Vutrisiran safety profile, subcutaneous administration without premedication, and extended dosing interval—preferred by patients—contribute to improved convenience12 and, consequently, enhanced quality of life. This drug represents a promising therapeutic option for the treatment of ATTRv, although long-term real-world studies are needed to confirm these findings.
Authorship statementJCV and AAGS wrote the manuscript and contributed to the conceptualization and provided fundamental knowledge. All authors reviewed and approved the final version of the manuscript for publication.
CRediT authorship contribution statementJavier Corazón Villanueva: Writing – review & editing, Writing – original draft, Validation, Data curation, Conceptualization. Ana Andrea García Sacristán: Writing – original draft, Validation, Supervision, Conceptualization.
Ethical considerationsThe authors declare no ethical considerations.
Funding sourcesThe authors received no specific funding for this work.
The authors declare no conflict of interest.



