validar el índice de fragilidad IF-CSS de acuerdo con su capacidad predictiva de mortalidad y definir los intervalos compatibles con los estados de fragilidad.
Métodoseste es un estudio observacional, retrospectivo y multicéntrico de una cohorte de pacientes institucionalizados en 4 residencias para personas mayores, dependientes y con un seguimiento entre 12 y 38 meses. El IF-CSS consta de 17 variables incluidas en la valoración geriátrica integral. El contraste de las estimaciones de las curvas de supervivencia se ha realizado mediante el test log-rank. El modelo predictivo del tiempo de supervivencia se ha realizado mediante un modelo paramétrico de fallo acelerado.
Resultadosse incluyeron 535 pacientes de una edad media de 83,62 años (DE±7,84). La mortalidad durante el periodo de estudio fue del 39,8%. Las curvas de supervivencia por intervalos de fragilidad mostraron diferencias significativas (χ2 = 92; p < 0,001). El análisis comparativo entre los pacientes vivos y los fallecidos también mostró diferencias significativas para la mayoría de las variables incluidas en el constructo. El modelo paramétrico de fallo acelerado estimó una reducción del 29% del tiempo de supervivencia por cada décima de aumento del IF-CSS.
Conclusionesel IF-CSS presenta un grado de predicción de mortalidad y de capacidad discriminativa de fragilidad, que permite su uso en la dinámica asistencial de los centros sociosanitarios.
To validate the IF-CSS frailty index according to its predictive capacity for mortality and to define the intervals compatible with frailty states.
MethodsAn observational, retrospective, multicenter study of a cohort of elderly patients from four nursing homes with a follow up between 12 and 38 months was conducted. The IF-CSS comprised 17 variables across four domains from the comprehensive geriatric assessment. Contrast of hypothesis log-rank for survival curves according to IF-CSS index was performed. The predictive model of survival time was performed using a parametric accelerated failure model.
Results535 patients with a mean age of 83.62 years (DE±7.84) were included. Mortality rate during the study period was 39.8%. Survival curves by frailty intervals showed significant differences (χ2 = 92; p < 0.001). The comparative analysis also showed significant differences for almost all the variables included in the construct. The parametric model of accelerated failure estimated a 29% reduction in survival time for each tenth of an increase in the IF-CSS.
ConclusionsThe IF-CSS results in a tool with a frailty discriminative and mortality predictive capacity that allows its use in the care programs of nursing homes.
Las personas usuarias de centros sociosanitarios (CSS), tipo residencias para personas mayores dependientes, son frágiles en una alta proporción, tienen un historial clínico complejo con múltiples morbilidades y presentan un alto grado de dependencia funcional1. Este tipo de centros cuenta con un equipo interdisciplinar capaz de prestar los cuidados asistenciales básicos, pero que precisa, en mayor o menor medida, del apoyo de dispositivos sanitarios para atender la progresión de las enfermedades, el cuidado al final de la vida y las consecuencias de la fragilidad, como las caídas, el delirium o la reagudización de las enfermedades2.
La valoración geriátrica integral (VGI) es la mejor herramienta para evaluar la necesidad de cuidados de las personas mayores3. La presencia de múltiples problemas que afectan a la fisiopatología y psicopatología de forma simultánea precisa de un abordaje multidimensional capaz de desarrollar una atención centrada en la persona3. Su desarrollo no es sencillo, la valoración de cada dimensión (clínica, funcional, mental y social) exige un abordaje interdisciplinar y resulta en un conjunto de información con un carácter cualitativo4, difícil de interpretar y utilizar para estratificar a la población. Además, la situación en la que se encuentra una persona es dinámica por la progresión de sus problemas de salud, de discapacidad o la aparición de síndromes geriátricos. En este sentido, incorporar una herramienta que permita medir, de forma cuantitativa y como variable continua, el estado de fragilidad, puede ser más efectiva en esta población5.
La fragilidad es una entidad clínica multidimensional y multifactorial que se define como un estado de deterioro progresivo de los sistemas fisiológicos, relacionado con la edad, que provoca una disminución de las reservas de la capacidad intrínseca, lo que confiere una mayor vulnerabilidad a los factores de estrés y aumenta el riesgo de una serie de resultados sanitarios adversos6,7. A su vez, es un potente predictor de resultados negativos en salud, como la necesidad de ingreso hospitalario, discapacidad y muerte8.
Los índices basados en el modelo de acumulación de deficits9 permiten medir la fragilidad como variable continua y, por tanto, valorar su trayectoria durante la vida del paciente. En los últimos años ha habido una proliferación de índices de fragilidad adaptados a diferentes ámbitos asistenciales4,10,11, especialidades clínicas12,13 u obtenidos a partir de los datos registrados en sistemas electrónicos14,15.
A pesar de su potencial, actualmente no es una herramienta utilizada de forma habitual en la práctica asistencial. Los CSS no son una excepción, y la realidad es que hay muy pocos índices desarrollados para su aplicación en este tipo de centros15. En 2018, en un estudio preliminar se propuso el índice de fragilidad IF-CSS, diseñado solo con variables incluidas en la VGI de los CSS de nuestro entorno y que mostró capacidad discriminativa de fragilidad16.
Los objetivos del presente trabajo son validar el IF-CSS según su capacidad predictiva de mortalidad y definir los intervalos compatibles con los estados de fragilidad (no frágil, leve, moderada y avanzada).
Material y métodosDiseño del estudio, contexto y participantesEstudio observacional, retrospectivo y multicéntrico, realizado en el ámbito de 4 CSS de la Comunidad Valenciana. Fue aprobado por el Comité de Ética del Hospital de Sagunto (FEF-ICF-2021-01).
El periodo de incorporación de los pacientes fue del 1 de enero de 2017 al 28 de febrero de 2019. El periodo de seguimiento tuvo que finalizar el 28 de febrero de 2020 para asegurar que la pandemia por SARS-CoV-2 no condicionaba el riesgo de mortalidad en la población incluida. Los criterios de inclusión fueron los siguientes:
- •
Usuarios de los CSS Burriana, La Cañada, Puerto de Sagunto y Torrente.
- •
Edad mayor o igual a 65 años.
- •
Disponer de, al menos, una VGI con las variables incluidas en el IF-CSS entre el 1 de enero de 2017 y el 28 de febrero de 2019 para disponer de un mínimo de 12 meses de seguimiento.
El único criterio de exclusión fue estar en situación terminal de últimos días en cuidados paliativos.
Diseño del IF-CSSEl IF-CSS se organizó en 4 dimensiones (funcional, mental, síndromes geriátricos y clínica), con 17 variables que engloban un total de 27 déficits (tabla 1). El cálculo se haría dividiendo los déficits acumulados por el paciente entre el total de déficits posibles, con resultado entre 0 (ningún déficit) y uno (presencia de todos los déficits). La selección de las variables se realizó de acuerdo con el consenso existente: estar asociadas a la edad y a problemas de salud, ser representativas de los diferentes dominios, no saturarse precozmente y no ser ni muy prevalentes ni muy infrecuentes17. Además, como requisito imprescindible, debían estar incluidas en la VGI de los CSS de nuestro entorno. Los intervalos de fragilidad predefinidos fueron: no frágil (≤0,2), leve (>0,2 ≤ 0,35), moderada (>0,35 ≤ 0,55) y avanzada (>0,55)16.
Descripción del índice de fragilidad IF-CSS
| DOMINIOS | VARIABLES | Puntuación | |||||
|---|---|---|---|---|---|---|---|
| 0 | 1 | 2 | 3 | 4 | |||
| FUNCIONAL (ABVD) | ABVD | Barthel | 100-95 | 90-65 | 60-45 | 40-20 | <20 |
| INCONTINENCIA | Ninguna | Al menos 1 | |||||
| INMOVILIDAD | Autónomo sin ayudas | Autónomo con ayudas | Dependientetotal | ||||
| COGNITIVO/EMOCIONAL | DETERIORO COGNITIVO | MEC | 35-30 | 29-20 | 19-15 | ≤14NV | |
| DEPRESIÓN | Yesavage/Cornell | Y:0-5/C: 0-8 | Y: 6-9/ C: 9-11o Trat. AD | Y>9 / C>11 | |||
| DELIRIUM | Episodio | NO | SIo precisa trat. AP | ||||
| SÍNDROMES GERIÁTRICOS | RIESGO D CAÍDA | Tinnetti (T) / Nº caídas | T:19-28 | T<19 | ≥2 caídaso caída grave | ||
| RIESGO DE UPP | Norton (N) / UPP | N>12 | N≤12 | UPP | |||
| POLIFARMACIA | Nº F | 0-5 | 6-9 | ≥10 | |||
| RIESGO DESNUTRICIÓN | Pérdida de peso
| NO | SÍ | ||||
| PROBLEMAS DEGLUCIÓN/ MASTICACIÓN | Disfagia / Portador sonda / Dieta triturada | NO | SÍ | ||||
| CLÍNICA | CÁNCER | No | Sí | ||||
| CARDIOVASCULAR | No | Sí | |||||
| RESPIRATORIA | No | Sí | |||||
| NEUROLÓGICA | No | Sí | |||||
| I.RENAL | No | Sí | |||||
| I.HEPATO-DIGESTIVA | No | Sí | |||||
ABVD: actividades básicas de la vida diaria; C: escala de cornell para la depresión en la demencia; I. hepato-digestiva: insuficiencia hepato-digestiva; I. Renal: insuficiencia renal; MEC: mini-examen cognoscitivo de lobo; N° F, número de fármacos; SNO, soporte nutricional oral; Trat. AD, tratamiento antidepresivo; Trat. AP, tratamiento antipsicótico; UPP: úlcera por presión; Y: escala de depresión geriátrica de Yesavage.
La puntuación de cada variable se asignó de forma que el peso de cada dominio fuera del orden de los índices validados hasta el momento17–19. La puntuación de las variables binarias se realizó en función de la presencia o no del déficit. Las variables cuantitativas determinadas por escalas se categorizaron de acuerdo con los intervalos de corte utilizados y reconocidos en la práctica clínica (tabla 1).
Variables del estudio, fuentes de datos y sesgosA cada persona atendida en el CSS se le realiza una VGI cada 6 meses de acuerdo con un calendario preestablecido por el equipo asistencial. Todas las variables se recogieron en el momento de realización de la VGI. Para el presente trabajo se utilizaron los datos obtenidos en la primera VGI realizada en el periodo de estudio y el IF-CSS fue calculado por el farmacéutico del equipo asistencial del CSS. Posteriormente, se recogieron las fechas de fallecimiento ocurridas hasta el 28 de febrero de 2020, consultando la historia clínica.
La mayoría de variables son dicotómicas, bien definidas y las escalas validadas y aplicadas por profesionales que cuentan con suficiente experiencia en su uso. En el anexo I se especifican los criterios utilizados para la puntuación de las variables de la dimensión clínica.
Tamaño muestral y métodos estadísticosEl análisis estadístico fue realizado por la empresa Biostatech, Advice, Training & Innovation in Biostatistics S.L.
Se estableció un tamaño muestral de 530 pacientes, teniendo en cuenta la fragilidad detectada en los estudios previos4, asumiendo un nivel de confianza del 95% y un margen de error del 3%.
El análisis descriptivo incluyó las frecuencias absolutas y relativas para las variables categóricas, y la media y la desviación estándar para las cuantitativas. La comparativa entre los pacientes vivos y los fallecidos para las variables categóricas se realizó mediante el test de Fisher o de chi-cuadrado, según el número de pacientes en cada categoría. Para las variables cuantitativas se emplearon los test de Welch y ANOVA de un factor, o de Mann-Whitney y Kruskal-Wallis, dependiendo de si se cumplían o no las asunciones de normalidad y homocedasticidad entre los grupos y el número de grupos a comparar.
El análisis de supervivencia se ha realizado utilizando el primer valor de IF-CSS obtenido para cada paciente durante el periodo de seguimiento mediante las curvas Kaplan–Meier (KM) y, mediante el test log-rank se compararon las estimaciones entre los distintos grupos predefinidos de fragilidad. Además, se han utilizado criterios estadísticos para valorar otras agrupaciones posibles que pudieran definir mejor los niveles de fragilidad (anexo II). Este análisis también se realizó para todas las variables incluidas en el constructo, para el sexo y el CSS de procedencia del paciente.
El modelo predictivo del tiempo de supervivencia se ha realizado mediante un modelo paramétrico de fallo acelerado, ante la no conveniencia de realizar una regresión de Cox por no cumplirse la asunción de riesgos proporcionales de la variable IF-CSS. También se ha realizado un análisis de las curvas ROC como medida de la capacidad pronóstica del IF-CSS a 1 y 2 años.
ResultadosParticipantes y datos descriptivosSe incluyeron un total de 535 pacientes, con una edad media de 83,62 años (DE 7,84), siendo el 71,8% mujeres. El tiempo de seguimiento medio fue de 1,99 años (DE 0,87). La población presentó un elevado grado de dependencia funcional, reflejado en el valor de la mediana del índice de Barthel (40; RIQ 10–80) y en el hecho de que el 64,3% de los pacientes presentaron una dependencia funcional moderada-grave. Igualmente, el valor medio del MEC fue de 16,07 (DE 11,92), mostrando el 57,2% un deterioro cognitivo moderado-avanzado; solo el 17,4% no padecía ningún grado de deterioro. Respecto a los síndromes geriátricos, el 62,2% presentaba incontinencia, el 34,2% inmovilidad y el 33,1% padecía o presentaba un riesgo elevado de úlceras por presión (UPP). A nivel de las enfermedades, destaca el elevado número de pacientes con enfermedad neurológica (75,1%), principalmente demencia. El resultado descriptivo de las variables recogidas en el estudio se detalla en la tabla 2, así como el número de los casos incluidos en aquellas variables que no se pudieron obtener en todos los casos.
Resultados de las variables y la comparación de los pacientes vivos-fallecidos durante el periodo de seguimiento⁎
| Variable | Total(n = 535) | Fallece durante el seguimiento | p | |||
|---|---|---|---|---|---|---|
| Sí(n = 213) | No(n = 322) | |||||
| IF-CSS (DE) | 0,40 (0,17) | 0,48 (0,14) | 0,35 (0,16) | <0,001 | ||
| Edad | 83,62 (7,84) | 85,77 (6,95) | 82,19 (8,08) | <0,001 | ||
| Sexo | Hombre | 151 (28,22%) | 66 (30,99%) | 85 (26,40%) | 0,248 | |
| Mujer | 384 (71,78%) | 147 (69,01%) | 237 (73,60%) | |||
| Peso; n = 509 (DE) | 63,46 (14,12) | 62,40 (13,56) | 64,12 (14,44) | <0,195 | ||
| IMC; n = 478 (DE) | 25,77 (5,27) | 25,18 (5,06) | 26,12 (5,37) | <0,068 | ||
| ABVD | I. Barthel | 40 (10–80) | 60 (20–85) | 20 (5–55) | <0,001 | |
| n ≤ 15 | 180 (33,64%) | 102 (47,89%) | 78 (24,22%) | <0,001 | ||
| 20 ≤ n ≤ 40 | 92 (17,20%) | 43 (20,19%) | 49 (15,22%) | |||
| 45 ≤ n ≤ 60 | 72 (13,46%) | 25 (11,74%) | 47 (14,60%) | |||
| 65 ≤ n ≤ 90 | 129 (24,11%) | 34 (15,96%) | 95 (29,50%) | |||
| 95 ≤ n ≤ 100 | 62 (11,59%) | 9 (4,23%) | 53 (16,46%) | |||
| Incontinencia | Sí | 333 (62,24%) | 170 (79,81%) | 163 (50,62%) | <0,001 | |
| No | 202 (37,76%) | 43 (20,19%) | 159 (49,38%) | |||
| Inmovilidad | Autónomo | 121 (22,62%) | 23 (10,80%) | 98 (30,43%) | <0,001 | |
| Ayuda | 231 (43,18%) | 89 (41,78%) | 142 (44,10%) | |||
| Inmóvil | 183 (34,21%) | 101 (47,42%) | 82 (25,47%) | |||
| Det. cog. | MEC (DE) | 16,07 (11,92) | 12,36 (11,51) | 18,53 (11,56) | <0,001 | |
| n ≤ 14 | 237 (44,30%) | 123 (57,75%) | 114 (35,40%) | <0,001 | ||
| 15 ≤ n ≤ 19 | 69 (12,90%) | 29 (13,62%) | 40 (12,42%) | |||
| 20 ≤ n ≤ 29 | 136 (25,42%) | 40 (18,78%) | 96 (29,81%) | |||
| n ≥ 30 | 93 (17,38%) | 21 (9,86%) | 72 (22,36%) | |||
| Delirium | Sí | 83 (15,51%) | 42 (19,72%) | 41 (12,73%) | <0,05 | |
| No | 452 (84,49%) | 171 (80,28%) | 281 (87,27%) | |||
| Depresión | Yesavage (DE) | 1,23 (2,53) | 1,06 (2,32) | 1,34 (2,66) | 0,087 | |
| Trat. antidepresivo | Sí | 128 (23,93%) | 31 (14,55%) | 97 (30,12%) | <0,001 | |
| No | 407 (76,07%) | 182 (85,45%) | 225 (69,88%) | |||
| Riesgo de caída | Tinetti, n = 534 (DE) | 13,61 (10,08) | 9,97 (9,13) | 16,00 (9,97) | <0,001 | |
| Caídas | Sí | 52 (9,72%) | 24 (11,27%) | 28 (8,70%) | 0,326 | |
| No | 483 (90,28%) | 189 (88,73%) | 294 (91,30%) | |||
| Riesgo de UPP | Norton, n = 531 (DE) | 14,71 (3,51) | 13,28 (3,21) | 15,64 (3,38) | <0,001 | |
| UPP | Sí | 44 (8,22%) | 33 (15,49%) | 11 (3,42%) | <0,001 | |
| No | 491 (91,78%) | 180 (84,51%) | 311 (96,58%) | |||
| Polifarmacia | N° medicamentos | 7,40 (3,41) | 7,55 (3,60) | 7,30 (3,29) | 0,4 | |
| n < 6 | 170 (31,78%) | 65 (30,52%) | 105 (32,61%) | 0,696 | ||
| 6 ≤ n ≤ 9 | 232 (43,36%) | 91 (42,72%) | 141 (43,79%) | |||
| n > 9 | 133 (24,86%) | 57 (26,76%) | 76 (23,60%) | |||
| Desnutrición | P. peso | Sí | 66 (12,34%) | 38 (17,84%) | 28 (8,70%) | <0,01 |
| No | 469 (87,66%) | 175 (82,16%) | 294 (91,30%) | |||
| Suplementación | Sí | 45 (8,41%) | 27 (12,68%) | 18 (5,59%) | <0,01 | |
| No | 490 (87,66%) | 186 (91,59%) | 304 (94,41%) | |||
| Deglución | Disfagia | Sí | 66 (12,34%) | 42 (19,72%) | 24 (7,45%) | <0,001 |
| No | 469 (87,66%) | 171 (80,28%) | 298 (92,55%) | |||
| D. adaptada | Sí | 140 (26,17%) | 88 (41,31%) | 52 (16,15%) | <0,001 | |
| No | 395 (73,83%) | 125 (58,69%) | 270 (83,85%) | |||
| Enfermedades | Cáncer | Sí | 32 (5,98%) | 21 (9,86%) | 11 (3,42%) | <0,01 |
| No | 503 (94,02%) | 192 (90,14%) | 311 (96,58%) | |||
| Cardiovasculares | Sí | 265 (49,53%) | 116 (54,46%) | 149 (46,27%) | 0,064 | |
| No | 270 (50,47%) | 97 (45,54%) | 173 (53,73%) | |||
| Respiratorias | Sí | 52 (9,72%) | 27 (12,68%) | 25 (7,76%) | 0,06 | |
| No | 483 (90,28%) | 186 (87,32%) | 297 (92,24%) | |||
| Neurológicas | Sí | 402 (75,14%) | 166 (77,93%) | 236 (73,29%) | 0,224 | |
| No | 133 (24,86%) | 47 (22,07%) | 86 (26,71%) | |||
| Renales | Sí | 170 (31,78%) | 80 (37,56%) | 90 (27,95%) | <0,05 | |
| No | 365 (68,22%) | 133 (62,44%) | 232 (72,05%) | |||
| Hepato-digestivas | Sí | 24 (4,49%) | 11 (5,16%) | 13 (4,04%) | 0,538 | |
| No | 511 (95,51%) | 202 (94,84%) | 309 (95,96%) | |||
ABVD: actividades básicas de la vida diaria; D. adaptada: dieta adaptada; Det.cog: deterioro cognitivo; IMC: índice de masa muscular; MEC: mini-mental cognoscitivo de lobo; P.peso: pérdida de peso; UPP: úlcera por presión.
El 85,2% (n = 456) de los pacientes presentaron algún grado de fragilidad: 25,8% (n = 138) leve, 34,4% (n = 184) moderada y 25,0% (n = 134) avanzada. Todas las variables disponían de datos en más del 95% de los casos y no resultaron ser excesivamente prevalentes (>80%) ni muy infrecuentes (<1%). El constructo mantiene el límite submáximo de 0,7 en el 98,7% de los casos y la distribución de los valores de IF-CSS es asimétrica, sesgada hacia la derecha (fig. 1).
Análisis de supervivenciaEl periodo de seguimiento máximo ha sido de 38 meses. Durante este periodo se produjeron 213 defunciones (39,8%) y no hubo pérdidas. En la figura 2 se muestra la estimación Kaplan-Meier para el conjunto de la cohorte estudiada, en la que la probabilidad de supervivencia acumulada a lo largo del tiempo fue de 0,541 (IC 95%: 0,493–0,594).
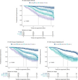
Las curvas de supervivencia estimadas para cada grupo de fragilidad resultaron significativamente diferentes (test log-rank: χ2 = 92, p < 0,001) para los intervalos predefinidos de fragilidad (fig. 3A) y también para las otras agrupaciones definidas a partir de criterios estadísticos (fig. 3B y C).
Estimación Kaplan-Meier para la supervivencia de la cohorte por niveles de IF-CSS (las líneas discontinuas señalan la mediana de cada grupo y las zonas sombreadas corresponden a los intervalos de confianza al 95%. El valor p corresponde al resultado del test log-rank). A) Las agrupaciones establecidas para los niveles siguen un criterio clínico. B y C) Las agrupaciones establecidas para los niveles siguen un criterio estadístico.
En la comparativa entre los pacientes vivos-fallecidos se aprecian diferencias significativas en todas las variables excepto el CSS y el sexo, no incluidas en el constructo, la polifarmacia y las enfermedades cardiovasculares, respiratorias y hepatodigestivas (tabla 2). La depresión solo resultó significativa cuando este déficit se valora como tratamiento antidepresivo, y riesgo de caída solo cuando se valora el riesgo (test de Tinetti).
El modelo paramétrico de fallo acelerado para la predicción del tiempo de supervivencia incluyó las variables edad, sexo, CSS e IF-CSS, resultando la variable CSS no significativa. El modelo resultante determina un claro efecto de la variable principal IF-CSS al estimar una reducción del tiempo de supervivencia del 29% por cada décima que aumenta. Asumiendo que el resto de variables se mantuvieran constantes, la edad y el sexo se comportan en el modelo de esta forma: cada año adicional del paciente reduciría la probabilidad de supervivencia a un 3%, y ser mujer la aumentaría a un 26%. En la figura 4A se muestra la estimación de supervivencia para distintos valores de IF-CSS y en la figura 4B se muestra de manera gráfica que los residuos del modelo paramétrico siguen la distribución implícita que impone el modelo. El análisis de las curvas ROC muestra un área bajo la curva a los 12 y 24 meses de 0,76 (IC 95%: 0,70–0,82) y 0,75 (IC 95%: 0,71–0,80), respectivamente (anexo III).
DiscusiónResultados claveEl IF-CSS resulta fácil de calcular e integrar en la práctica asistencial. El constructo cumple los criterios de inclusión de variables y los criterios de validación20: presenta asociación con la edad, el valor medio es mayor en mujeres y no se satura al no sobrepasar el límite submáximo fijado en 0,7. La distribución del índice está sesgada hacia la derecha, es decir, la proporción de personas con baja fragilidad es reducida debido a los criterios de acceso a este tipo de centros.
En nuestra cohorte, la probabilidad de supervivencia al finalizar el seguimiento fue del 54,1% (IC 95%: 49,3–59,4) y el 85,2% tuvo algún grado de fragilidad. Los intervalos predefinidos de fragilidad permiten diferenciar de forma clara las curvas de supervivencia para cada nivel de fragilidad, no siendo necesario modificarlos por los establecidos con criterios estadísticos que resultan menos intuitivos y complejos de utilizar.
Como es previsible, se observa una clara relación entre fragilidad y mortalidad. Aunque es un dato que hay que entender con cautela, el modelo paramétrico realizado estima que por cada décima que aumenta el IF-CSS el tiempo de supervivencia se reduce en un 29%. Por otra parte, de acuerdo con el análisis de curvas ROC, la capacidad pronóstica a los 12 y 24 meses se encuentra en un nivel intermedio al descrito por otros autores4,15,17. La situación clínica en el momento de la medida del índice de fragilidad, el ámbito asistencial y las características de la cohorte explicarían estas diferencias.
Interpretación de los resultadosEl análisis comparativo de las variables entre vivos y fallecidos durante los 38 meses de seguimiento muestra diferencias significativas para todas ellas, excepto las enfermedades cardiovasculares, respiratorias, neurológicas y hepatodigestivas, y la polifarmacia. En el caso de las enfermedades, el elevado grado de fragilidad de la cohorte minimizaría su impacto frente a un diagnóstico de situación global y, especialmente, funcional. El cáncer y la insuficiencia renal son la excepción, probablemente por ser causas desencadenantes de fallecer en etapas avanzadas y cuyo tratamiento no garantiza la solución o la cronicidad del problema. La polifarmacia es un síndrome geriátrico que se ha relacionado con mortalidad y fragilidad, pero en nuestro estudio no encontramos diferencias entre los pacientes vivos y fallecidos. Esto podría ser debido a que la polifarmacia es un problema sobre el que se actúa de forma activa en la VGI, con el objetivo de adecuar el tratamiento a la situación cambiante del paciente. Así, esta actuación suele resultar en una reducción del número de medicamentos, lo que está en consonancia con el hecho de que la polifarmacia excesiva no sea muy prevalente (24,9%) y dificultaría establecer dicha asociación. Cabe la posibilidad de que, en nuestra población, las consecuencias clínicas de la polifarmacia, como fragilidad o mortalidad, pudieran estar más relacionadas con el tipo de medicamento que con el número en sí21. En este sentido, la variable «delirium», que en el constructo puntúa el tratamiento antipsicótico, sí se relaciona con mayor riesgo de fallecer, posiblemente indicativo de que no todos los medicamentos inciden de la misma forma en estas personas.
Respecto a las variables que se desdoblan en «riesgo» y «suceso», destaca el hecho de que en «en riesgo» de UPP los déficit que la componen presentan diferencias significativas por separado, es decir, tanto el riesgo (Norton ≤12) como el padecer una UPP. En cambio, la variable «riesgo de caída» solo presenta significación en la medida del riesgo (test de Tinetti), probablemente debido a que el uso de silla de ruedas en las personas con fragilidad moderada-avanzada es muy elevado, lo que reduce de forma importante el número de caídas. En la variable «depresión» no resulta significativa la presencia de sintomatología (Yesavage/Cornell) y el tratamiento es menos frecuente entre los pacientes fallecidos, lo que puede explicarse porque en las personas con fragilidad avanzada la retirada de este tratamiento es una actuación potencial del equipo interdisciplinar en la VGI.
Respecto a otras propuestas, el índice de fragilidad de Rockwood9 se ha aplicado en distintos ámbitos asistenciales, pero su capacidad predictiva parece reducirse cuando se aplica a personas con un número muy elevado de déficits, por lo que podría ser menos pertinente su aplicación en CSS22. El Frail-NH23 es, quizá, el más reconocido en el ámbito de los CSS para la detección y estratificación de fragilidad, pero se trata de un índice basado en el fenotipo de fragilidad y no permite, como los basados en la acumulación de déficit, contemplarla como variable continua. En este sentido, solo hemos encontrado un índice de fragilidad basado en la acumulación de déficits, diseñado específicamente para el ámbito de los CSS15. A diferencia de este, nuestro índice presenta un número menor de déficits (32 vs. 27) al incorporar un menor número de enfermedades, síntomas y déficits sensoriales. Así, el IF-CSS se sitúa ligeramente por debajo de los 30 déficits recomendados para el diseño del constructo20, pero muy por encima de los 10 que marcarían un mayor riesgo de inestabilidad de las estimaciones24.
La diferencia principal de nuestro constructo es que utiliza el resultado de las escalas de valoración validadas utilizadas en la VGI y diferencia, como déficits distintos, el riesgo y el suceso de padecer un problema. Entendemos que esta característica puede reforzar la consistencia de la estimación al graduar la puntuación en función de la gravedad de la situación. Además, lo hace con un bajo nivel de sesgo por parte del observador, ya que las distintas escalas son aplicadas por diferentes profesionales con amplia experiencia.
Otras propuestas publicadas similares están dirigidas al paciente mayor ambulatorio4 o de centros de larga estancia y atención domiciliaria10. En este punto, el entorno asistencial tiene mucha importancia en el diseño del constructo. Así, debido al elevado grado de discapacidad y deterioro cognitivo de la población de los CSS, el IF-CSS no incluye la valoración de la capacidad funcional para las actividades instrumentales de la vida diaria por riesgo de saturación, ni variables que precisan la participación del paciente (por ejemplo, grado de dolor). Otros déficits incluidos en algunas de estas propuestas, como el grado de ansiedad, el insomnio o la somnolencia, tampoco se incluyeron, por entender que podían estar sujetas a un sesgo de interpretación por parte del observador, y la vulnerabilidad social, por entender que la propia estancia en el CSS soluciona en gran medida este potencial déficit.
LimitacionesLos resultados del presente estudio deben interpretarse teniendo en cuenta su naturaleza y las limitaciones del propio diseño:
- •
Se ha utilizado el primer valor de IF-CSS de cada paciente y no se ha tenido en cuenta su evolución durante el seguimiento o hasta fallecer.
- •
La puntuación de las enfermedades está sujeta a una mayor interpretación, y en aquellas que incluyen el tratamiento farmacológico (depresión y delirium) se asume que la prescripción es adecuada.
- •
El constructo se ha diseñado para su uso en la población de CSS por lo que su potencial utilidad quedaría restringida a este ámbito asistencial.
El IF-CSS presenta un excelente grado de predicción de mortalidad y de capacidad discriminativa de fragilidad en el ámbito de los CSS. Resulta muy sencillo de aplicar, no precisa un trabajo en paralelo a la VGI y se podría adaptar a la utilización de otras escalas, siempre que hubiera una equivalencia validada entre ellas. Por otro lado, el hecho de que la información que precisa el constructo se nutra del trabajo de la mayor parte de los profesionales del equipo técnico de los CSS, facilitaría su incorporación en la dinámica asistencial.
La VGI es el proceso clave para el diseño de un plan de atención individualizado de la persona atendida en CSS, ya que requiere, al mismo tiempo y de forma integrada, cuidados dirigidos a la mejora y mantenimiento de su estado de salud y su capacidad funcional. Trasladar la VGI a un índice de fragilidad ayudaría al equipo asistencial a comprender la situación en la que se encuentra la persona y a medir su evolución de una forma cuantitativa, lo que facilitaría la toma de decisiones en aspectos tan importantes en este ámbito asistencial, como son el manejo de la intensidad terapéutica más adecuada, la desprescripción de medicamentos o estar preparados ante la proximidad de la necesidad de cuidados paliativos.
Aportación a la literatura científicaEl IF-CSS es el primer índice de fragilidad diseñado y validado para su utilización en la práctica asistencial de centros sociosanitarios tipo residencias para personas mayores dependientes de nuestro entorno. Las variables incluidas en el constructo se obtienen de la valoración geriátrica integral que realiza periódicamente el equipo interdisciplinar del centro. Como medida de la fragilidad, permite entender la situación en la que se encuentra la persona y facilitar la toma de decisiones para establecer el plan de atención individualizado más adecuado.
El IF-CSS establece de forma cuantitativa el diagnóstico de situación de la persona y su evolución con el tiempo. La estratificación en niveles de fragilidad ayuda a definir los objetivos terapéuticos y a trabajar en la adecuación del tratamiento; además, permite entender las necesidades asistenciales para optimizar la organización del recurso asistencial. Esta investigación, permite la realización de estudios de utilización de medicamentos según estado de fragilidad y podría utilizarse también como medida de resultado en salud.
FinanciaciónEl trabajo forma parte del proyecto de investigación Validación del Índice de Fragilidad IF-CSS que cuenta con financiación de la Fundación Española de Farmacia Hospitalaria (Protocolo FEF-ICF-2021-01) para el diseño de la base de datos y el análisis estadístico realizado.
Conflicto de interesesLos autores declaran no tener ningún conflicto de intereses.
AgradecimientosLos autores agradecen a los profesionales de las residencias incluidas en el estudio su dedicación al cuidado de las personas mayores dependientes, sin el cual, este trabajo no se podría haber realizado. Igualmente, al equipo de Biostatech, Advice, Training & Innovation in Biostatistics S.L. por su imprescindible asesoramiento y a los compañeros del grupo CRONOS de la SEFH por su constante apoyo.
Declaración de contribución de autoría CRediTJuan Francisco Peris Martí: Writing – review & editing, Writing – original draft, Visualization, Validation, Supervision, Methodology, Investigation, Formal analysis, Conceptualization. Elia M. Fernández Villalba: Writing – review & editing, Writing – original draft, Validation, Supervision, Methodology, Investigation, Formal analysis, Conceptualization. Patricia Bravo José: Writing – review & editing, Writing – original draft, Validation, Supervision, Methodology, Investigation, Formal analysis, Conceptualization. Carmen Isabel Saez Lleó: Writing – review & editing, Writing – original draft, Validation, Methodology, Investigation, Data curation. Minerva Espert-Roig: Writing – review & editing, Validation, Supervision, Methodology, Investigation, Data curation. Pilar Martínez Antequera: Writing – review & editing, Writing – original draft, Methodology, Investigation, Formal analysis, Data curation.









