evaluar la persistencia, efectividad y seguridad en la práctica clínica real de secukinumab en pacientes adultos con psoriasis de moderada a grave en un análisis multicéntrico.
Métodosestudio de cohorte retrospectivo que utilizó registros e historias clínicas de 2 hospitales diferentes (febrero de 2015 a marzo de 2024). Se identificaron adultos con psoriasis moderada a grave que iniciaron tratamiento con secukinumab y se les hizo un seguimiento hasta marzo de 2024 o interrupción del tratamiento. Las características demográficas y clínicas basales estudiadas incluyeron sexo, edad al diagnóstico, índice de gravedad del área de psoriasis (PASI), tratamiento previo y comorbilidades. La adherencia se midió mediante el índice de posesión de medicamentos (MPR, por sus siglas en inglés); se consideró que los pacientes con MPR mayor al 80% eran adherentes. Se determinó la persistencia, tasa de retención, efectividad, seguridad y pauta posológica de secukinumab. Se utilizó el análisis de Kaplan–Meier para estimar la persistencia de secukinumab a uno, 2 y 3 años.
Resultadosse incluyeron un total de 88 pacientes con psoriasis de moderada a grave de los cuales 45 (51,1%) no habían recibido tratamiento biológico previo. La puntuación PASI inicial fue de 15,0 ± 2,9 y los pacientes recibieron 1,9 ± 0,9 líneas previas de tratamiento. Los tratamientos biológicos previos fueron anti-TNF-α (60,5%) y ustekinumab (20,9%). Suspendieron el tratamiento con secukinumab 34 (38,6%) pacientes por los siguientes motivos: 19 (21,5%) por falta de efectividad, 8 (9,2%) por respuesta parcial e incompleta y 7 (7,9%) por efectos adversos. La persistencia de secukinumab fue de 61,5 ± 21,7 meses para todos los pacientes. Al realizar un análisis de subgrupos, los pacientes no naïve obtuvieron una persistencia de 61,5 ± 12,4 meses seguido de 54,1 ± 14,8 meses para los pacientes naïve (p = 0,804). La tasa de retención de secukinumab al un año, 2 años y 3 años fue del 72,7; 51,1 y 39,8%, respectivamente.
Conclusiónsecukinumab demostró una persistencia de más del 70% en los pacientes con psoriasis de moderada a grave tras el primer año de tratamiento.
The aim of this his study was to evaluate the real-world persistence, effectiveness, and safety of secukinumab in adult patients with moderate-to-severe psoriasis in two different hospitals.
MethodsRetrospective cohort study that used registries and medical records from 2 different hospitals (February 2015 to March 2024). Adults with moderate-to-severe psoriasis who initiated secukinumab treatment were identified and followed-up until March 2024, or disenrollment. Baseline demographic and clinical characteristics studied included sex, age at diagnóstico, weight, prior failed treatments, duration of treatment and psoriasis area severity index score (PASI). Adherence was measured using medication possession ratio (MPR); patients with MPR more than 80% were considered adherent. Persistence, effectiveness, safety, and dosage regimen of secukinumab were collected. Kaplan–Meier analysis was used to estimate secukinumab persistence using 1-year intervals.
ResultsA total of 88 patients with moderate-to-severe psoriasis were included, of whom 45 (51.1%) had not received prior biological treatment. Baseline PASI score was 15.0 ± 2.9 and patients received 1.4 ± 0.8 prior biological treatments. The most common previous biological treatments included anti-TNFα (60.5%) and ustekinumab (20.9%). Thirty-four (38.6%) patients discontinued secukinumab treatment due to the following reasons. Nineteen (21.5%) due to a lack of effectiveness, 8 (9.2%), due to achieve only a partial response and 7 (7.9%) due to adverse effects. Secukinumab persistence was 61.5 ± 21.7 months for all patients. When performing a subgroup analysis, non-naïve patients obtained a persistence of 61.5 ± 12.4 months followed by 54.1 ± 14.8 months for naïve patients (p = 0.804). Secukinumab persistence at 1 year, 2 years and 3 years was 72.7, 51.1 and 39.8%, respectively.
ConclusionsSecukinumab demonstrated persistence in more than 70% of patients with moderate to severe psoriasis after the first year of treatment.
La psoriasis es una enfermedad inmunoinflamatoria crónica que afecta al 1–3% de la población mundial. Se caracteriza por la presencia de placas eritematosas y escamosas bien delimitadas, localizadas predominantemente en los codos, las rodillas y el cuero cabelludo, aunque también puede afectar las palmas de las manos, las plantas de los pies, las uñas y las articulaciones1. Esta condición clínica limita significativamente la calidad de vida de algunos pacientes, por lo que son numerosos y continuados los esfuerzos y recursos destinados a ampliar el arsenal terapéutico. En la actualidad, existe una amplia variedad de terapias biológicas dirigidas a diferentes vías moleculares con el objetivo de actuar específicamente sobre los mecanismos implicados en la fisiopatología de la enfermedad. Adalimumab, etanercept, certolizumab e infliximab (inhibidores del TNF-α); ustekinumab (inhibidor de IL-12/IL-23); secukinumab, ixekizumab, bimekizumab, brodalumab (inhibidores de la IL-17); y guselkumab, risankizumab, y tildrakizumab (inhibidores de la IL-23)2 están indicados para la psoriasis. Esto requiere una correcta priorización de las distintas alternativas terapéuticas, así como la implementación de algoritmos que aseguren una utilización coste-efectiva de las mismas. Disponer de una variedad tan amplia de mecanismos y moléculas, incluso para un mismo mecanismo, implica que un paciente probablemente recibirá varias de estas alternativas terapéuticas a lo largo de su vida. Por este motivo, también es importante considerar cómo puede modificarse el perfil de eficacia de estos fármacos en función de si el paciente ha sido tratado previamente con fármacos biológicos (no naïve) o si es la primera vez que se somete a este tipo de terapia (naïve)3.
El mecanismo de acción de secukinumab se basa en la unión del anticuerpo a la IL-17A. Como consecuencia, inhibe la interacción de estas interleucinas con su receptor, impidiendo así la activación de la cascada inflamatoria que da lugar a la liberación de mediadores de daño tisular y otras citoquinas proinflamatorias como el TNF-α4. Son múltiples los ensayos clínicos que han demostrado la eficacia y seguridad de secukinumab en el tratamiento de la psoriasis de moderada a grave5. En cuanto a su seguridad, presenta un perfil favorable de efectos adversos (EA)6 y no muestra diferencias significativas en comparación con otros agentes biológicos utilizados en el tratamiento de la psoriasis, siendo los EA más frecuentes las infecciones de las vías respiratorias superiores y las reacciones en el lugar de la inyección7.
La persistencia es el tiempo transcurrido entre el inicio del tratamiento y la última dosis, que precede inmediatamente a la interrupción, es decir, a la suspensión definitiva del tratamiento8. La persistencia puede determinar el valor de secukinumab en pacientes con psoriasis en un contexto real. Es importante destacar que los antecedentes de uso de otras opciones terapéuticas pueden influir en la persistencia del tratamiento con secukinumab. Conocer los factores que influyen en la persistencia de secukinumab puede ayudar a los profesionales sanitarios a optimizar las estrategias de tratamiento y mejorar los resultados en los pacientes con psoriasis9. En España, los estudios previos sobre la persistencia de secukinumab se limitan a un período de un año10, por lo que se requieren más estudios de persistencia a largo plazo en condiciones del mundo real para confirmar estos datos. Existen evidencias escasas y contradictorias sobre la persistencia a largo plazo de secukinumab en pacientes con psoriasis en el mundo real. El objetivo de este estudio, realizado en el contexto real, es determinar la persistencia a largo plazo del tratamiento con secukinumab en pacientes con psoriasis de moderada a grave seguidos durante un período de 3 años. Con esta información, podemos evaluar el beneficio terapéutico a largo plazo del tratamiento con secukinumab, por lo que la medición de la persistencia resulta de utilidad como indicador para evaluar la eficacia y la seguridad. El objetivo secundario es comparar la persistencia en pacientes naïve con secukinumab con la de pacientes con secukinumab expuestos previamente a agentes biológicos.
MétodosSe realizó un estudio observacional retrospectivo entre febrero de 2015 y marzo de 2024 de una población de pacientes con psoriasis moderada a grave tratados con secukinumab en 2 centros de la red pública de hospitales de la Comunidad Valenciana. Se utilizaron los siguientes criterios de inclusión: pacientes adultos con psoriasis moderada a grave en los que fracasó el tratamiento con glucocorticoides, inmunosupresores o ambos, y que completaron la dosis de inducción y mantenimiento pautada con secukinumab (administrado en inyección subcutánea de 300 mg mensual, tras dosis de inicio en las semanas 0, 1, 2, 3 y 4). Criterios de exclusión: pacientes con diagnóstico actual de artritis psoriásica. Los pacientes se definieron como naïve biológicos (aquellos sin evidencia de uso de terapia biológica en ningún momento) o con experiencia biológica (cuando se dio al menos un registro de dispensación de cualquier tratamiento biológico). Las variables recogidas fueron: género, edad, diagnóstico, tratamientos biológicos previos, fecha de inicio con secukinumab, pauta posológica, índice de gravedad del área de psoriasis (PASI), reacciones adversas y causa de interrupción. El PASI se utilizó para evaluar la gravedad de la psoriasis11. Se documentaron los efectos adversos más importantes que condujeron a la interrupción del tratamiento. El Índice Dermatológico de Calidad de Vida (DLQI) fue utilizado para evaluar las implicaciones más generales de la psoriasis en la calidad de vida del paciente en relación con su salud12 dentro de 6 ámbitos: síntomas y sensaciones, actividades cotidianas, ocio, rendimiento laboral o escolar, relaciones personales y tratamientos. Las puntuaciones del DLQI oscilan entre 0 (que indica ausencia de efectos en la vida del paciente) y 30 (que significa un efecto muy acusado), ofreciendo así una amplia perspectiva del impacto de la enfermedad.
La persistencia con secukinumab se calculó a partir de las fechas de inicio y finalización del tratamiento. Como fecha de finalización del tratamiento se consideró el momento en el que el médico responsable decidió interrumpir el tratamiento, tal y como se reflejaba en la historia clínica del paciente. Si el paciente continuaba con el tratamiento, la persistencia se calculó a partir de la fecha de finalización del seguimiento (marzo de 2024). Las interrupciones del seguimiento, entendidas como la falta de visita del paciente a su médico dermatólogo o al farmacéutico en el transcurso de un año, se consideraron como datos con carácter censurado en el análisis de persistencia13. El análisis estadístico se realizó con el programa SPSS Statistics® v23. La persistencia del tratamiento biológico se calculó mediante estimaciones de Kaplan–Meier. Los resultados de las variables categóricas se describieron mediante frecuencias (%) y se compararon mediante la prueba de chi-cuadrado de Pearson. Los resultados de las variables cuantitativas se describieron mediante medias y desviación estándar (DE), en los casos en que la distribución era normal, previamente determinada mediante la prueba de normalidad de Shapiro–Wilk, y mediante medianas y rangos intercuartílicos en los casos en que la distribución no era normal.
La adherencia se midió mediante la tasa de posesión de medicación (TPM) que calcula el porcentaje de tiempo que el paciente tiene acceso a su medicación.
La adherencia al tratamiento se obtuvo de los registros de dispensación del departamento de farmacia del hospital. Las dispensaciones individualizadas de secukinumab y las fechas correlativas durante el periodo de estudio se obtuvieron utilizando el programa informático de Farmacia Hospitalaria de Consultas Externas DISPENSA (Oncopharm® Health Information Technology, Valencia, España), que permite la dispensación y el seguimiento del tratamiento ambulatorio. La tasa de TMP se calculó utilizando los datos de los registros de dispensación de farmacia correspondientes al tratamiento global con secukinumab14.
ResultadosLa población del estudio incluyó 88 pacientes adultos diagnosticados de psoriasis de moderada a grave que recibieron tratamiento con secukinumab. En la tabla 1 se muestran las características basales de los pacientes incluidos en el estudio. Un total de 45 pacientes (51,1%) eran naïve al tratamiento biológico, 36 (83,7% no naïve) recibieron un tratamiento biológico y 7 (16,3%) recibieron al menos 2 tratamientos biológicos. No se encontraron diferencias en las características basales entre los pacientes naïve y los no naïve al tratamiento biológico. Las puntuaciones PASI basales fueron comparables entre los pacientes de los 2 centros hospitalarios, con una mediana de 15,0 ± 6,5. Los pacientes habían recibido una media de 1,4 ± 0,8 tratamientos biológicos previos. No hubo diferencias significativas entre los 2 grupos en cuanto al PASI basal y las líneas de tratamiento previas. Un total de 43 (48,9%) pacientes se agruparon en el subgrupo de pacientes no naïve y, por tanto, habían recibido algún tratamiento biológico para la psoriasis antes del uso de secukinumab. Los fármacos más utilizados por los pacientes que habían recibido tratamiento biológico previamente fueron anti-TNF-α (60,5%) y ustekinumab (20,9%).
Características demográficas y de la enfermedad al inicio del estudio
| Naïve | No naïve | |
|---|---|---|
| No. de pacientes | 45 (88) | 43 (88) |
| Género masculino n (%) | 26 (58) | 14 (33) |
| Edad, media ± DE | 50 ± 15 | 56 ± 15 |
| Peso, media ± DE | 75 ± 12 | 73 ± 15 |
| Líneas previas de tratamiento, media ± DE | – | 1,4 ± 0,8 |
| Persistencia, mediana ± RIC | 54,1 ± 14,8 | 63,5 ± 12,4 |
| Persistencia global, mediana ± RIC | 61,5 ± 21,7 | |
| PASI basal, mediana ± RIC | 15,0 ± 2,9 | |
DE: desviación estándar; RIC: rango intercuartílico.
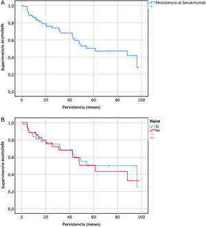
La probabilidad de persistencia al cabo de un año fue del 72,7%. La persistencia acumulada de los pacientes tratados al menos 2 y 3 años con secukinumab fue del 51,1 y 39,8%, respectivamente. La persistencia al tratamiento mostró una mediana ± RIC de 61,5 ± 21,7 meses (mínimo 25,2 meses y máximo 85,9 meses), como se representa en la figura 1. Al realizar un análisis de subgrupos, los pacientes no naïve obtuvieron una persistencia de 63,5 ± 12,4 meses (mínimo 37,2 meses y máximo 85,9 meses) seguidos de 54,1 ± 14,8 meses (mínimo 25,2 meses y máximo 83,1 meses) para los pacientes naïve, no apreciándose diferencias estadísticamente significativas (p = 0,804) (fig. 1).
En cuanto a la respuesta terapéutica, se clasificó a los pacientes en categorías según el porcentaje de mejoría relativa en comparación con el valor PASI basal. Los resultados indican que el 19,4% de los pacientes alcanzaron un PASI de 100, seguido de un 38,9% con un PASI de 90, y un 59,7% con un PASI de 75. Se observó un DLQI desde la fase inicial de 12,9 ± 4,3 a 7,7 ± 4,2 después del tratamiento. Se obtuvo una tasa media de adherencia del 82,4% ± 8,4 en los 88 pacientes incluidos en el estudio.
En el transcurso del estudio, 34 (38,6%) pacientes interrumpieron el tratamiento con secukinumab por los siguientes motivos: 19 (21,5%) por falta de eficacia, 8 (9,2%), por alcanzar solo una respuesta parcial y 7 (7,9%) por EA. Uno de ellos experimentó una elevación de las transaminasas que obligó a interrumpir el tratamiento. Los otros EA que motivaron la interrupción fueron infección de las vías respiratorias superiores, hemiparesia, parálisis facial periférica, artralgia, asma y molestias gastrointestinales. Al final del periodo de estudio, 54 (61,3%) pacientes seguían recibiendo tratamiento con secukinumab.
DiscusiónEl control a largo plazo de la psoriasis de moderada a grave ha sido sumamente importante en el tratamiento de esta enfermedad, permitiendo alcanzar la remisión a largo plazo de los signos y síntomas de la enfermedad en una proporción cada vez mayor de pacientes. La persistencia se está convirtiendo en una medida útil para evaluar la eficacia a largo plazo de los tratamientos en el entorno clínico real de las enfermedades crónicas. Puede considerarse un indicador indirecto del éxito del tratamiento, que depende de la eficacia y la seguridad, la comodidad de la administración, la satisfacción del paciente y otros factores15. Nuestro estudio analizó la persistencia de secukinumab en una cohorte de 88 pacientes tratados según la práctica clínica habitual. Los pacientes incluidos tenían una puntuación PASI media de 15,0, similar a la de otros estudios realizados en el mundo real16,17. De todos los pacientes incluidos, el 51% eran pacientes naïve al tratamiento biológico. Nuestro estudio ha demostrado que la persistencia de secukinumab a 1, 2 y 3 años fue del 72,7; 51,1 y 39,8%, respectivamente. La tasa de persistencia observada a un año es coherente con los informes anteriores de estudios de la vida real. Conesa-Nicolás et al.10 realizaron un estudio de mundo real en España para evaluar la persistencia y eficacia del tratamiento con secukinumab en la psoriasis. La persistencia obtenida a los 12 meses fue del 56,3%, inferior a la de nuestro estudio. El 43,7% de los pacientes interrumpieron el tratamiento, el 59,3% de ellos por fracaso secundario. Sin embargo, en un estudio en el mundo real de 2 años de duración, las tasas de persistencia de secukinumab en pacientes con psoriasis a los 12, 18 y 24 meses fueron del 89,0; 81,1 y 74,3%, respectivamente18. En un estudio multicéntrico europeo en pacientes con psoriasis, con un 65,9% de pacientes naïve al tratamiento biológico, las tasas de retención del tratamiento con secukinumab después de 1, 2 y 3 años en el estudio fueron del 88,0; 76,4 y 60,5%, respectivamente. El 36,9% de los pacientes interrumpieron el tratamiento con secukinumab, y los motivos más frecuentes fueron la falta de eficacia (42,6%), los efectos adversos (17,4%), la decisión del médico (12,2%) y la decisión del sujeto (11,6%)17. En cuanto a la respuesta terapéutica, solo se obtuvo PASI 100 en el 19,4% de los pacientes, de forma similar a otros estudios realizados en el mundo real19. Los resultados obtenidos en cuanto a la reducción del DLQI tras un año de tratamiento con secukinumab fueron similares20. Secukinumab tuvo una tasa de interrupción por efectos adversos razonable y solo el 7,9% de los pacientes tuvieron que interrumpir el tratamiento por motivos de seguridad, de forma similar a otros estudios10,17.
Los pacientes bioexperimentados podrían presentar una mayor severidad de la enfermedad, lo que requeriría estrategias terapéuticas más agresivas21. Estos pacientes fueron más propensos a interrumpir el tratamiento que los pacientes bionaïve22. Sin embargo, son escasas las series de estudios realizados en el mundo real que evalúen las diferencias en la persistencia entre pacientes bionaïve y bioexperimentados23. Aunque la tasa de supervivencia biológica tiende a ser mayor en los pacientes bionaïve, es difícil encontrar diferencias estadísticamente significativas entre estos y los pacientes bioexperimentados para cualquiera de los fármacos biológicos aprobados. Wang et al. llevaron a cabo un estudio en el mundo real sobre pacientes diagnosticados de psoriasis en placas para evaluar la persistencia del tratamiento con inhibidores de la interleucina-17. El análisis de subgrupos en función de la experiencia con biológicos mostró tasas de persistencia similares entre los pacientes bionaïve y bioexperimentados con psoriasis a los 12 (73,1% frente a 75,6%), 24 (64,2% frente a 66,6%) y 36 meses (59,5% frente a 58,3%)24. En nuestra cohorte de pacientes, la persistencia fue ligeramente superior en el grupo no naïve frente al grupo naïve, pero sin mostrar diferencias estadísticamente significativas (p = 0,804). Estas diferencias pueden deberse al pequeño tamaño de la muestra y a la poca madurez de los datos en el grupo naïve, ya que se trataba de pacientes que iniciaron el tratamiento más tarde. Por tanto, es previsible que en el futuro la persistencia de los pacientes naïve aumente y sea superior a la de los pacientes no naïve de forma similar a lo que ocurre en la literatura descrita.
Uno de los puntos fuertes de este estudio es que los pacientes incluidos se consideraron adherentes a secukinumab en función de los datos de la TPM presentados. Una TPM elevada indica que un paciente renueva sistemáticamente sus recetas y, por lo tanto, es probable que tome la medicación según lo prescrito. Esto hace que los resultados de persistencia del estudio sean más generalizables y fiables para la práctica clínica real25.
La interpretación de los resultados del presente estudio exige tener en cuenta sus limitaciones, como el tamaño limitado de la muestra y el carácter observacional y retrospectivo del mismo. Además, solo se utilizó un método, la TMP, para estimar la adherencia. Es bien sabido que este método tiende a sobrestimar la adherencia. Por lo tanto, se necesitan más estudios para confirmar la eficacia de secukinumab en el mundo real mediante la evaluación de los resultados en el ámbito clínico con el objetivo de mejorar el tratamiento de la psoriasis.
En este estudio realizado en el mundo real, los pacientes con psoriasis tratados con secukinumab presentaron una actividad de la enfermedad de moderada a grave, y más del 70% de los pacientes con un seguimiento de un año persistieron en el tratamiento con secukinumab, de forma similar a los estudios anteriores en el mundo real presentados en España. Sin embargo, las tasas de persistencia de secukinumab a los 2 y 3 años son inferiores a las descritas en otros estudios16,17. Estos resultados se suman a los ya existentes al aportar pruebas generadas a partir de datos del mundo real sobre la persistencia a largo plazo de secukinumab en pacientes con psoriasis de moderada a grave.
Contribución a la literatura científicaEste estudio contribuye a la literatura existente con datos reales sobre la persistencia a largo plazo de secukinumab en pacientes con psoriasis. Los resultados aportan información valiosa sobre los factores asociados a la persistencia del tratamiento, incluida la exposición previa a terapias biológicas. El artículo destaca la importancia de los datos de persistencia a largo plazo para evaluar la relación coste-eficacia de los tratamientos biológicos de la psoriasis. Los profesionales sanitarios pueden utilizar esta información para optimizar el tratamiento con secukinumab y mejorar los resultados de los pacientes.
Responsabilidades éticasEl estudio fue aprobado por el Comité Ético de Investigación Clínica del hospital, y se ha llevado a cabo de acuerdo con los principios de la Declaración de Helsinki.
FinanciaciónLos autores declaran que no recibieron apoyo financiero alguno para la investigación, autoría y/o publicación de este artículo.
Conflicto de interesesLos autores declaran no tener ningún conflicto de intereses.
Declaración de contribución de autoría CRediTJoaquín Borrás-Blasco: Writing – review & editing, Writing – original draft, Visualization, Validation, Methodology, Investigation, Formal analysis, Conceptualization. Silvia Cornejo: Writing – review & editing, Validation, Methodology, Investigation, Formal analysis, Data curation. Alejandro Valcuende-Rosique: Writing – review & editing, Visualization, Methodology, Formal analysis, Data curation. Rebeca Alcalá: Writing – review & editing, Validation, Supervision, Formal analysis. Ana Navalón Bono: Data curation, Formal analysis, Investigation, Methodology, Visualization.





