To evaluate the efficacy and safety of anti-PD-1 and anti-PD-L1 immunotherapy agents as monotherapy in patients with non-small cell lung cancer.
MethodThis was a four-year retrospective observational study that included all patients with non-small cell lung cancer treated with nivolumab, pembrolizumab, and atezolizumab in a third level hospital. Demographic, clinical (ECOG status, stage, PD-L1 expression level), therapeutic (drug, start date, line of treatment and number of cycles), efficacy (date and status at the end of follow-up) and toxicity variables were collected. Data was extracted from the patient's electronic medical record. Overall survival and progression-free survival rates for different monitoring times were calculated.
ResultsThe study included 80 patients, 35 on nivolumab, 32 on pembrolizumab and 13 on atezolizumab. The median overall survival was not achieved. Overall survival at 6, 12, 18 and 49 months in patients treated with nivolumab was 79.7%, 74.0%, 65.8% and 65.8%, respectively. Median progression-free survival was 15 months. Adverse events were observed in 85.7% of cases, the most common being asthenia (45.7%), hypothyroidism (25.7%) and cough (20.0%). For pembrolizumab, the overail survival rate at the end of follow-up for first- and second-line treatment was 100% and 70.9%, respectively. Median progression-free survival was 17 months in the first-line and 24 months in the second-line setting. Adverse events were observed in 84.4% of subjects, the most common ones being dyspnea (31.3%), arthralgia (28.1%) and asthenia (25.0%). The overall survival rate from 3 to 7 months remained at 75.8% for atezolizumab. Median progression-free survival could not be determined. At 3 and 6 months, 49.5% of subjects had made some progress. The most frequent adverse events included toxicity (69.2%), asthenia (30.8%), and cough, dyspnea, and skin toxicity (15.4% each).
ConclusionsSubjects showed a trend toward stabilization and chronification of the disease. A positive and considerable survival rate was observed, as compared with previous studies. Further studies are required with larger sample sizes and longer follow-up times to confirm these findings.
Evaluación de la efectividad y seguridad de inmunoterapia anti-PD-1 y anti-PD-Ll en monoterapia para pacientes con cáncer de pulmón no microcítico.
MétodoEstudio observacional retrospectivo que incluyó a pacientes con cáncer de pulmón no microcítico tratados con nivolumab, pembrolizumab y atezolizumab, durante 4 años en un hospital de tercer nivel. Se recogieron variables demográficas, clínicas (clasificación en la escala del Eastern Cooperative Oncology Group, estadio de la enfermedad, determinación y valor de PD-1), de tratamiento (fármaco, fecha de inicio, línea de tratamiento y número de ciclos), de efectividad (fecha y estado a fin de seguimiento) y de toxicidad. Los datos se extrajeron de la historia clínica informatizada. Se calcularon las tasas de supervivencia global y de supervivencia libre de progresión para diferentes tiempos de seguimiento.
ResultadosSe incluyeron 80 pacientes, 35 con nivolumab, 32 con pembrolizumab y 13 con atezolizumab. No se alcanzaron medianas de supervivencia global. En los pacientes tratados con nivolumab, la supervivencia a los 6, 12, 18 y 49 meses fue del 79,7%%, 74,0%%, 65,8%% y 65,8%%, respectivamente. La mediana de supervivencia libre de progresión fue de 15 meses. El 85,7% presentó toxicidad, siendo astenia (45,7%), hipotiroidismo (25,7%) y tos (20,0%) las más frecuentes. Para pembrolizumab, la tasa de supervivencia global al final del seguimiento fue del 100% en primera línea y del 70,9% en segunda línea de tratamiento. La mediana de supervivencia libre de progresión fue de 17 meses en primera línea y 24 meses en segunda línea de tratamiento. El 84,4% presentó toxicidad, siendo disnea (31,3%), artralgias (28,1%) y astenia (25,0%) las más frecuentes. Para atezolizumab la tasa de supervivencia global se mantuvo en 75,8% desde los 3 hasta los 7 meses. No se alcanzó la mediana de supervivencia libre de progresión; a los 3 y 6 meses, el 49,5% había progresado. El 69,2% presentó toxicidad, siendo astenia (30,8%) y tos, disnea y toxicidad cutánea (15,4%, para cada una) las más frecuentes.
ConclusionesSe observa una tendencia de la muestra a la estabilización y cronificación de la enfermedad, hallándose una positiva y considerable tasa de supervivencia, en comparación con estudios previos. Se precisa ampliar el tamaño muestral y el tiempo de seguimiento para confirmar dicha tendencia.
Lung cancer is the leading cause of cancer death1, with non-small-cell lung cancer (NSCLC) being the most prevalent type, accounting for 85% of all deaths from lung cancer2. In the last few years, the advent of targeted therapies such as those using tyrosine kinase inhibitors against epidermal growth factor receptor mutations or anaplastic lymphoma kinase translocations have constituted a much needed addition to the therapeutic armamentarium against cancer. However, many tumors do not present with those specific mutations and are therefore not amenable to treatment with such therapies3. In those cases, platinum-based chemotherapy remains the gold standard in the first-line setting, albeit with limited results4.
Immunotherapy targets immune checkpoints in an effort to modulate cell proliferation. Antibodies targeting programmed death receptor 1 (PD-1) and programmed death ligand 1 (PD-L1) inhibit one of several immune evasion mechanisms, triggering the apoptotic demise of tumor cells5. These drugs have shown themselves to be superior to classical chemotherapy6 and have delivered sustained tumor regressions in some patients7.
Clinical trials at different phases of development provide efficacy and safety data on these drugs. The results of such trials, conducted under optimal experimental conditions in cohorts of selected patients, are considered universally valid. Nonetheless, there is an increasing trend for hospitals using these drugs to carry out real-life efficacy and safety studies in order to obtain hospital-specific data.
Based on the foregoing, the purpose of the present study was to evaluate the real-life efficacy and safety of nivolumab, pembrolizumab and atezolizumab as monotherapy in patients with NSCLC.
MethodsThis was a retrospective observational study conducted with a view to updating the pharmacotherapeutic guidelines of the San Juan University Hospital (Spain), as part of an overall quality assurance program authorized by the hospital management and by the Elda Hospital Pharmaceutical Research Ethics Committee. Data was anonymized and processed for statistical purposes.
All the subjects in the study were patients diagnosed with NSCLC who received at least one dose of targeted anti-PD-1 or anti-PD-L1 monotherapy from 1 July 2015 to 21 August 2019 at the San Juan University Hospital. Subjects were classified according of the drug received. No patient was a candidate to therapies targeted to other gene mutations (EGFR, ALK and ROS1) as such mutations were not present.
The patients’ clinical data was extracted from their medical record in a retrospective way. Demographic and clinical variables, as well as the levels of PD-L1 and other treatment variables were recorded.
Progression-free survival (PFS) and overall survival (OS) rates were recorded for each group, as well as the time to radiological progression of the disease, as determined through computed tomography (CT) (using the RECIST criteria), and/or death.
The safety analysis included all the adverse events recorded during treatment in each patients’ medical record, regardless of the degree of toxicity as measured using the CTCAE criteria. Hospital admissions as well as delays or discontinuations of treatment due to toxicity were also taken into consideration.
Data was obtained from the Orion Health Enterprise system (Orion Health®) and from the patients’ onco-hematologic electronic prescription (Farmis_Oncofarm®).
The Stata® statistical software was used for the descriptive analysis of the data. Survival outcomes were estimated using the Kaplan-Meier method. OS and PFS are expressed as medians, with an associated 95% confidence interval. Survival rates for a given follow-up period are presented as percentages, with an associated 95% confidence interval. Outcomes expressed as mean values are presented together with their corresponding standard error (SE).
ResultsThe sample included 80 patients, of whom 43.7% (35) were treated with nivolumab, 40% (32) with pembrolizumab, and 16.3% (13) with atezolizumab. Mean patient age was 66.2 ± 1.0 years, 76.3% (61) of the sample being male. A total of 83.8% (67) of subjects were TNM stage IV and 80% (64) had an ECOG performance status between 0 and 1. The characteristics of the different treatment arms are shown in table 1.
Characteristics of the different treatment arms
| Nivolumab | Pembrolizumab | Atezolizumab | |
|---|---|---|---|
| Mean patient age | 65.9 ± 1.7 years | 67.2 ± 1.4 years | 64.2 ± 2.4 years |
| Males | 77.1% (27) | 71.9% (23) | 84.6% (11) |
| ECOG 0 | 0.0% (0) | 12.5% (4) | 7.7% (1) |
| ECOG 1 | 74.3% (26) | 68.8% (22) | 84.6% (11) |
| ECOG 2 | 25.7% (9) | 18.8% (6) | 7.7% (1) |
| Stage IV | 82.9% (29) | 87.5% (28) | 76.9% (10) |
| Dosage | 228 ± 4.7 mg c/14 days | 189.4 ± 4.1 mg c/21 days | 1200 ± 0 mg c/21 days |
| Extended use | 14.3% (5) | 31.3% (10) | 0 |
| Cycles received | 26.3 ± 5.1 | 10.9 ± 1.8 | 5.2 ± 0.9 |
| Days of treatment | 387 ± 74 | 224 ± 42 | 97 ± 19 |
| 1st line | 0.0% (0) | 53.1% (17) | 0.0% (0) |
| 2nd line | 71.4% (25) | 43.8% (14) | 69.3% (9) |
| 3rd line | 14.3% (5) | 3.1% (1) | 30.7% (4) |
| 4th line | 14.3% (5) | 0.0% (0) | 0.0% (0) |
| Adenocarcinoma | 28.6% (10) | 56.3% (18) | 61.5% (8) |
| Squamous carcinoma | 54.3% (19) | 28.1% (9) | 38.5% (5) |
| Large-cell lung carcinoma | 8.6% (3) | 9.4% (39) | 0 |
| Undifferentiated carcinoma | 8.6% (3) | 6.3% (2) | 0 |
| Smoker | 34.3% (12) | 50.0% (16) | 53.8% (7) |
| Ex-smoker | 60.0% (21) | 43.8% (14) | 38.5% (5) |
| Bone metastasis | 20.0% (7) | 28.1% (9) | 30.8% (4) |
| Liver metastasis | 8.6% (3) | 18.8% (6) | 15.4% (2) |
ECOG: Eastern Cooperative Oncology Group.
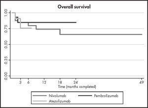
The OS rates achieved by the different drugs are shown in figure 1. PFS rates by drug are presented in figure 2.
PD-L1 expression was measured in 28.6% (10) of patients treated with nivolumab; 30% (3) of these patients exhibited a high expression level (≥ 50%).
OS data are presented at different follow-up points, as the median OS could not be determined. The OS rate was 84.4% (66.5%; 93.2%) at 3 months’ follow-up, 79.7% (59.7%; 90.5%) at 6 months, 74.0% (51.7%; 87.2%) at 12 months, and 65.8% (39.8; 82.7%) from the 18th month to the end of follow-up (49th month). Median PFS was reached at 15 months (5-undefined). There were no treatment discontinuations for reasons other than disease progression or toxicity.
None of the patients treated with nivolumab had to be admitted for a toxicity problem. In 20% (7), administration of the drug had to be postponed because of toxicity problems, and 2.8% (1) had to discontinue the treatment because of a serious adverse reaction (bullous pemphigoid). One of the patients, developed tinnitus, an adverse reaction not described in the product's label, which may have been caused by previous cisplatin-based treatment.
As regards pembrolizumab, 100% of patients tested positive for PD-L1, with 75% (24) showing high PD-L1 expression (≥ 50%). As explicitly required by the product's label, all patients receiving pembrolizumab as first-line treatment exhibited high PD-L1 expression, except for one patient where PD-L1 expression was < 50%.
Mean OS could not be determined for any patient. The OS rate was 84.6% (63.8%-94.0%) from the second month of administration to the end of follow-up (24th month). Median PFS was 24 months (5-undefined).
Given that pembrolizumab's label restricts its use in the first line setting to tumors with PD-L1 expression ≥ 50%, and to tumors with PD-L1 expression ≥ 1% in the second line, OS and PFS results were stratified according to line of treatment.
Patients on first-line treatment showed an OS rate of 100%, which remained constant from the 1st month of administration to the end of follow-up (23rd month). The first-line patient with low PD-L1 expression died before the first month of follow-up was over. Median PFS was 17 months (2; undefined).
The OS rate among patients on second-line treatment or beyond was 70.9% (39.5%-88.0%) from the second month of administration to the end of follow-up (24th month). Median PFS was reached at 24 months (5-unde-fined).
The beginning of treatment had to be postponed in 12.5% (4) of patients because of toxicity problems. A total of 6.3% (2) had to be admitted because of immunotherapy-induced toxicity: one of them exhibited pyrexia resulting from the infusion of the drug while the other developed nephropathy. Aggravation of toxicity made it necessary to discontinue treatment in the latter patient.
PD-L1 expression was evaluated in 100% of patients treated with atezolizumab, with 23.1% of subjects testing positive3. Tumor expression of PD-L1 was ≥ 50% in all these cases.
It was not possible to determine the median OS for our study period. An OS rate of 75.8% (30.5%-93.7%) was found, which remained constant from the third month of administration to the end of follow-up (7th month). Median PFS could not be determined either. In spite of that, a sustained PFS rate of 50.5% (18.7%-75.7%) was obtained from the third month of administration to the end of follow-up (7th month).
No patient discontinued their treatment or had their treatment postponed as a result of toxicity. Nevertheless, one patient (7.7%) had to be hospitalized due to treatment-induced pyrexia. Another patient developed paresthesia, which was noteworthy as that adverse reaction is not mentioned in the product's label. The occurrence of this adverse event could be due to previous treatment with paclitaxel and carboplatin.
Toxicity was observed in 85.7% (30), 84.4% (27) and 69.2% (9) of patients treated with nivolumab, pembrolizumab and atezolizumab respectively. Adverse reactions are described in table 2.
Incidence of adverse reactions for each of the drugs studied
| Adverse reaction | Nivolumab n = 35 | Pembrolizumab n = 32 | Atezolizumab n = 13 |
|---|---|---|---|
| Tinnitus | 1 (2.8%) | 0 | 0 |
| Arthralgia | 4 (11.4%) | 9 (28.1%) | 0 |
| Asthenia | 16 (45.7%) | 8 (25.0%) | 4 (30.8%) |
| Headache | 0 | 1 (3.1%) | 0 |
| Diarrhea | 6 (17.1%) | 4 (12.5%) | 0 |
| Dyspnea | 5 (14.3%) | 10 (31.3%) | 2 (15.4%) |
| Edema | 2 (5.7%) | 1 (3.1%) | 0 |
| Fever | 0 | 2 (6.3%) | 1 (7.7%) |
| Hepatopathy | 0 | 1 (3.1%) | 0 |
| Hypersensitivity | 1 (2.8%) | 0 | 0 |
| Hyporexia/Anorexia | 0 | 4 (12.5%) | 1 (7.7%) |
| Hypothyroidism | 9 (25.7%) | 2 (6.3%) | 0 |
| Nausea | 0 | 3 (9.4%) | 0 |
| Nephritis | 0 | 1 (3.1%) | 0 |
| Paresthesia | 0 | 0 | 1 (7.7%) |
| Skin reactions | 6 (17.1%) | 6 (18.7%) | 2 (15.4%) |
| Serositis | 0 | 1 (3.1%) | 0 |
| Cough | 7 (20.0%) | 4 (12.5%) | 2 (15.4%) |
As regards OS outcomes for nivolumab, the data shows a high percentage (65.8%) of so-called “long-term survivors” or “sustained responders”, for whom the OS rate stayed constant from the 18th month of administration to the end of follow-up (49th month). It could be said that nivolumab succeeded in stabilizing the disease and making it chronic. This is believed to be the main reason why the median OS, which would have presumably stood above 49 months, could not be determined. This finding contrasts with the results of Brahmer et al.'s randomized phase III clinical trial8 comparing nivolumab with docetaxel in advanced squamous NSCLC patients with an ECOG performance status between 0 and 1, which found a median OS of 9.2 months. Our results also differ from those of Borghaei et al.9 who, in a similar study, analyzed subjects with non-squamous NSCLC and obtained a median OS of 12.2 months.
In 2018, Merino et al.10 published a retrospective multicenter study covering 15 Spanish hospitals, which evaluated the efficacy and safety of nivolumab in patients with NSCLC who shared similar characteristics. The study found a mean OS of 9.7 months.
Median PFS in the present study was 15 months. The three above-mentioned studies found PFS's of 3.5 months for Brahmer8, 2.3 months for Borghaei9, and 5.3 months for the Spanish study10.
The nivolumab results obtained in our cohort are superior to those published in both the pivotal studies8,9 and the Spanish study10 in spite of the fact that there were no significant differences in the baseline characteristics between our sample and those in the mentioned analyses. A literature search in PubMed and ClinicalTrials.gov revealed a lack of studies with similar or higher OS and/or PFS rates. The superiority of our results could be attributable to a high percentage of long-term responders in our sample. There are other studies that also suggest the existence of this kind of patient profile. For example, Vokes et al.11 obtained a 3-year PFS rate of 10% in the nivolumab group, while Gettinger et al.12 quantified their 5-year OS rate at 16%, without identifying any significant baseline differences between these patients and those with a lower OS rate.
As far as safety is concerned, 85.7% of our patients developed some degree of toxicity. This finding differs from the reports of the authors above: 58% in the squamous NSCLC study8, 69% in the non-squamous NSCLC abalysis9 and 71% in the Spanish trial10. The most common adverse events were asthenia (45.7%), hypothyroidism (25.7%), diarrhea (17.1%) and skin reactions (17.1%), somewhat in line with the findings of Merino et al.10, who reported asthenia in 38.5% of patients, dyspnea in 14.9% and diarrhea in 11.8%.
Generally speaking, the most common adverse events observed in this study were comparable to those reported in other phase III clinical trials8,9. Toxicity-related differences between studies may be attributed to their retrospective or interventionistic nature. Failure to prospectively and exhaustively distinguish adverse reactions caused by the drug from those resulting from the disease itself complicates data collection and may lead to a potential information bias.
The OS rate in patients treated with pembrolizumab as first-line treatment was 100% and remained constant until the 23rd month. Persistence of this trend beyond this point would make our results similar to those of Reck et al.13, who obtained a median OS of 30 months in a randomized phase III trial on naïve NSCLC patients with high PD-L1 expression and similar baseline characteristics as those of our cohort. Our results were also superior to those of a French multicenter real-life analysis14, where first-line OS was 15.2 months in a population of similar characteristics as ours. A longer follow-up would be required to reach the mean OS and determine whether these findings are borne out.
The OS rate for patients on second-line treatment or beyond was 70.9% at the 24th month, which contrasts with the findings of Herbs’ randomized controlled study7 on patients with advanced PD-L1-positive NSCLC previously treated with chemotherapy. The authors of this study compared the effects of 2 mg/kg pembrolizumab (median OS: 10.4 months) or 10 mg/kg pembrolizumab (median OS: 12.7 months) every 3 weeks, with docetaxel used as the control arm. At the same time, these authors prospectively carried out an identical analysis for the group of tumor patients with PD-L1 expression ≥ 50% and found an OS of 14.9 months for the 2 mg/kg dose and of 17.3 months for the 10 mg/kg dose.
A post-marketing study conducted in six hospitals in Canada15 on patients with similar characteristics to those in our sample found an OS of 13.4 months. In that study, ECOG performance status stands out as the only statistically significant factor for survival, with ECOG 0-1 being associated to more favorable results than ECOG 2-3. The percentage of ECOG ≥ 2 in the Canadian study nearly doubled that in our cohort (34.2% vs 18.8%) and OS in ECOG 0-1 patients was 16.7 months.
Median PFS in the first-line setting (17 months) was higher than the one reported by Reck16 (10.3 months) and by Amrane et al.14 (10.1 months). Second-line patients exhibited a median PFS of 24 months, as compared with 3.7 months in Ksienski et al.15, and 3.9 months and 4.0 in Herbs7 for his 2 mg/kg and 10 mg/kg doses, respectively. Herbs’7 patients with tumors with PD-L1 expression ≥ 50% exhibited a median PFS of 5 and 5.2 months for the 2 mg/kg and 10 mg/kg doses, respectively.
In sum, as far as efficacy is concerned, patients treated with pembrolizumab, regardless of their line of treatment, presented with higher survival rates than those obtained in the pivotal7,13,16 and post-marketing14,15 studies. The superiority shown by the present study in terms of survival may be due to the considerable percentage of long-term survivors in the sample. Another factor to be considered is the high number of subjects with an ECOG performance status between 0 and 1. None of the other variables could be responsible for the superiority of our data over those of the cited authors. Studies with larger sample sizes and longer follow-ups are needed to confirm these differences.
An analysis of the safety-related outcomes reveals that 84.4% of patients had some kind of an adverse reaction to the drug, which is higher than the incidence reported in the articles cited above (73.4% for Reck16, and 63%, and 66% for Herbs’7 2 mg/kg and 10 mg/kg doses, respectively).
With regard to the OS for atezolizumab, we observed the same trend as for the other drugs. Indeed, the OS rate remained constant at 75.8% from the third month to the end of follow up (7th month), which is probably indicative of the fact that patients in the cohort were long-term survivors. Follow-up time was shorter than in other studies, which made it impossible to determine the median OS value. In their randomized phase III trial, Rittmeyer et al.17established a mean OS of 15.7 months for locally advanced or metastatic PD-L1-positive NSCLC treated in the second line setting. Along the same lines, Fehrenbacher et al.’s18 phase II trial found a median OS of 12.6 months. In turn, Spigel et al.19, in similar a phase II trial, determined a median OS of 9.3 months.
Although we were also unable to establish the median PFS for atezolizumab, we were able to determine that 49.5% of patients had made some progress by the end of follow-up (7 months). This could be indicative of the fact that median PFS for atezolizumab in our study might be higher than that reported in the above-mentioned studies (2.8 months in Rittmeyer et al.17, 2.7 months in Fehrenbacher et al.18, and 3.7 months in Spigel et al.19). No other factors seem to be able to account for this difference, apart from the inclusion of patients with a sustained response.
As regards the safety profile of atezolizumab, adverse reactions were observed in 69.2% of patients, a percentage in line with other studies in the literature (64% in Rittmeyer et al.17 and 67% in both Fehrenbacher et al.18 and Spigel et al.19).
In sum, our sample shows that the three drugs under analysis are able to achieve a certain degree of stabilization and chronification of the condition. Nevertheless, it cannot be ascertained whether the differences observed would be replicated with a larger sample size, nor is it possible to provide an explanation of such differences.
For these reasons, it would be advisable to carry out fresh studies to confirm the findings of the present analysis and to define the criteria that might predict a sustained response to immunotherapy.
There are still few predictive biomarkers capable of appropriately selecting those individuals who would derive the greatest benefit from immunotherapy. The only such biomarkers currently available in clinical practice are PD-L1 expression and microsatellite instability. Work is underway however to develop new biomarkers such as tumor mutational burden and gene expression signatures associated with IFN-γ, which could play an important role in the future20.
FundingNo financing required.
Conflict of interestThe authors declare that they have no conflict of interest.
Contribution to the scientific literature
The present study was undertaken to provide a descriptive overview of the efficacy and safety of the immune checkpoint-targeted monoclonal antibodies most widely used in the treatment of non-small-cell lung cancer in clinical practice. Most of the studies published on the subject were conducted under optimal experimental conditions. We believe that an observation of the real-life use of such drugs could shed some additional light and generate valuable post-marketing evidence.







