INTRODUCCIÓN
La anemiaasociada al cáncer es una de las manifestaciones quemás negativamente inciden en la calidad de vida del pacienteoncológico. La etiología de la anemia en estospacientes es multifactorial. Por una parte existen factoresderivados de la evolución de la propia enfermedad (sangrado,alteración en la ingesta de alimentos, pobre estadonutricional, infiltración tumoral de la médulaósea, etc.) que puede originar una disminución de laeritropoyesis. Por otra parte, la toxicidad hematológica porlos tratamientos quimio y radioterápicos. Este problemaafecta tanto la calidad de vida del paciente por lasintomatología asociada a la misma (fatiga, letargia,depresión) como al propio tratamiento quimioterápicoal tener que reconsiderar las dosis de los fármacoscitostáticos. La anemia crónica del cáncer secaracteriza por la presencia de niveles endógenos bajos deeritropoyetina y, como consecuencia, síntomas tales como lahipoxia generalizada y la fatiga (1). Diferentes factores talescomo el tipo de neoplasia o el tipo e intensidad de laquimioterapia administrada influyen en la prevalencia de la anemia(2).
El tratamientoclásico de la anemia es la administración deconcentrados de hematíes, pero este tratamiento presenta losriesgos asociados a los tratamientos con derivados de la sangre:posibilidad de infecciones por HIV, hepatitis B o C,citomegalovirus, etc., y la necesidad de vía i.v. y portanto de atención hospitalaria. Por ello no se usarutinariamente cuando el paciente sufre de anemia en grado leve omoderado. En estos casos la administración subcutáneade eritropoyetina se presenta como una alternativaterapéutica para elevar los niveles de hemoglobina,disminuir los síntomas asociados a la anemia y reducir losriesgos asociados a las transfusiones sanguíneas (3), con laventaja de no requerir atención especializada para suadministración.
El principalinconveniente del uso de la eritropoyetina es su coste, por lo queresulta necesario identificar qué grupos de pacientes sebeneficiarán potencialmente del tratamiento con ella,conocer factores predictivos de la respuesta y realizar elseguimiento de los resultados de su utilización en lospacientes.
En estecontexto, dentro de las actividades de trabajo del Grupo GEDEFO(Grupo Español para el Desarrollo de la FarmaciaOncológica), nos planteamos la necesidad de conocer elperfil real de utilización de la eritropoyetina (EPO) enpacientes oncológicos tratados en nuestros hospitales y almismo tiempo determinar, si es posible, los resultadosterapéuticos que se derivan de suutilización.
MÉTODO
El estudio sediseñó como un estudio multicéntrico,observacional, retrospectivo y concurrente entre hospitalespertenecientes al grupo de trabajo (GEDEFO) de la zona Centro yCanarias que voluntariamente desearon participar. El estudio secoordinó desde el servicio de farmacia del Hospital 12 deOctubre de Madrid. Los datos de los pacientes oncológicos entratamiento con eritropoyetina se recogieron en una hoja de datosdiseñada al efecto y que todos los participantes en elestudio consensuaron previamente (anexo1).
La muestra delestudio consistió en aquellos pacientesoncohematológicos que recibieron EPO durante elperíodo comprendido entre el 1 de enero al 30 de junio de1999. El seguimiento se realizó durante el tiempo queduró su tratamiento: de forma retrospectiva en aquellospacientes que ya se encontraban en tratamiento al inicio delestudio y concurrente en aquellos que lo iniciaron posteriormente.El período de seguimiento abarcó idealmente latotalidad del tratamiento, siendo como mínimo de un mes enlos pacientes reclutados más tardíamente. El plazopara el seguimiento de los pacientes concluyó en noviembrede 1999.
Las fuentes deinformación utilizadas para la realización delestudio fueron los registros de dispensación de EPO apacientes externos (por ser la EPO un fármaco de usohospitalario), los registros de quimioterapia administrada (unidadde citostáticos) y las historias clínicas de lospacientes.
Los resultadosobtenidos se evaluaron siguiendo criterios preestablecidos encuanto a la calidad de la prescripción, teniendo en cuenta,como criterio de evaluación, las indicaciones autorizadas enEspaña para pacientes oncohematológicos (tratamientode la anemia inducida por cisplatino o sus derivados) (4). El valorlímite para considerar anemia en estos pacientes sesituó en 10,5 g/dl. Por otra parte se intentó valorarla efectividad de dichos tratamientos en cuanto a criteriosobjetivos. Estos criterios fueron los siguientes: seconsideró que el tratamiento fue eficaz si los niveles dehemoglobina/reticulocitos aumentan más de 1 g/dl o 40.000células/µl, respectivamente, tras cuatro semanas detratamiento o después de ocho semanas tras cambio de dosis,siempre y cuando estos niveles no se deban a transfusiónsanguínea. En el caso de que se hubiera administrado sangre,la eficacia se valoró por el perfil analítico en losperíodos de tiempo entre transfusiones.
RESULTADOS
Participaron enel estudio un total de 15 hospitales que aportaron 97 pacientes(anexo 2) de los que 92 resultaronvalorables para la eficacia. En un paciente se utilizó EPOcomo tratamiento compasivo para un síndromemielodisplásico y en otro el origen de laprescripción fue insuficiencia renal, aunque el pacientetambién tenía un cáncer. En los demáscasos las hojas de recogida de datos estabanincompletas.
Lascaracterísticas de los pacientes aparecen en la tabla 1.
Laindicación del uso de EPO fue principalmente el tratamientode la anemia (66 pacientes). En 27 pacientes la EPO seutilizó como profilaxis para evitar la anemia inducida porla quimioterapia. La distribución de pacientes y lasindicaciones recogidas en cada hospital se muestra en la figura 1.
Figura1.--Distribución de pacientes por indicaciones en loshospitalesparticipantes en el estudio.
No seregistró ningún efecto adverso grave. Sólo uncaso de náuseas y astenia intensa que se atribuyó aEPO y originó la suspensión del tratamiento. Por otraparte son muy escasas las referencias en las historias de lospacientes a mejora de la sintomatología asociada a laanemia.
En lavaloración de los resultados de eficacia hemos consideradode forma independiente ambas indicaciones de utilización porser los objetivos terapéuticos distintos.
Utilización de EPO enanemia
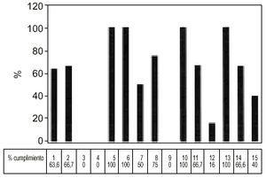
En 66 pacientes(44 hombres y 22 mujeres) se utilizó la EPO como tratamientode la anemia. Cuarenta y ocho de estos pacientes estaban recibiendoquimioterapia con cisplatino o derivados, siete recibíanquimioterapia sin derivados de platino y en 11 casos norecibían quimioterapia asociada, aunque la habíanrecibido previamente. Es decir, en sentido estricto, laadecuación de la utilización de EPO a lasindicaciones autorizadas en España es del 52,2%. Sinembargo, en la figura 2 se muestran elporcentaje de cumplimiento de dicho criterio en cada hospital. Cabedestacar que en dos de ellos se produce una desviaciónimportante de la utilización de la EPO hacia indicaciones noautorizadas. Sin contar con estos dos hospitales, el porcentaje deadecuación al criterio establecido es del 75%.
Figura2.--Cumplimiento de los criterios de indicación deeritropoyetina por hospitales. Número total de pacientes:92. Índice de cumplimiento global: 52,5%.
Los pacientesque recibieron EPO para la corrección de la anemia inducidapor quimioterapia tenían una edad mediana de sesenta y cincoaños (veintitrés-ochenta y siete) y eran tratadosfundamentalmente por servicios de oncología (82%). Losniveles de partida de hemoglobina fueron de 9,02 + 1,00g/dl).
Con respecto ala dosis inicial, en la mayoría de los casos fue de 10.000UI tres veces/semana, lo que corresponde aproximadamente a 150UI/kg de peso. En cinco pacientes fue necesario aumentar la dosis a20.000 UI tres veces/semana para intentar obtener respuestaterapéutica.
Aplicando loscriterios de eficacia anteriormente definidos, en 39 pacientes seconsiguió aumento de los niveles de hemoglobina (34 a lasdosis inicialmente pautadas y cinco después devaloración y modificación de la dosis inicialmenteprescritas). En 34 de estos pacientes, además, no fuenecesaria la administración de sangre, aunque dos de elloshabían recibido previamente transfusiónsanguínea. La eficacia global al tratamiento resulta ser del59,1% de los pacientes.
Lascaracterísticas de la respuesta al tratamiento aparecen enla tabla 2. En ella se comparan losresultados obtenidos en los 39 pacientes en los que se obtuvorespuesta de los 27 pacientes en los que la utilización deEPO no consiguió aumentar los niveles dehemoglobina.
El origen de laindicación en ambos grupos (respondedor frente a norespondedor) fue prácticamente el mismo: quimioterapiaasociada con platino o derivados (79 frente a 63%), quimioterapiaasociada sin platino (cinco frente a 18%) y sin quimioterapiaasociada (15 frente a 19%). A pesar de que los niveles iniciales dehemoglobina son prácticamente los mismos en ambos grupos, enel grupo de pacientes que no responde el hematócrito iniciales algo más bajo. Los niveles de hemoglobina a las cuatrosemanas de iniciado el tratamiento son claramente más bajosen el grupo de pacientes que no responde.
Lasuspensión del tratamiento con EPO fue fundamentalmente porla normalización de niveles de hemoglobina (alrededor de 12g/dl) en el grupo de pacientes donde la EPO resultó eficaz(19 de 37), aunque no se normalizan niveles en cinco pacientes ypor finalización de la quimioterapia en cinco. En todosestos casos los niveles de hemoglobina aumentaron con respecto albasal. Siete pacientes continuaban en tratamiento al final delperíodo de recogida de datos y dos fueronexitus.
En el grupo depacientes en los que no se obtuvo respuesta no llegan anormalizarse los niveles de hemoglobina (21 pacientes), tres fueronexitus y dos terminaron el tratamiento con quimioterapia sin haberaumentado los niveles basales. En dos pacientes se obtienennormalizaciones de hemoglobina por la administración desangre.
Sólo enseis pacientes se administra junto con la EPO compuestos de hierro(cuatro de ellos pertenecían al grupo que responde y dos alque no responden).
Utilización enprofilaxis
En 27 pacientesla administración de EPO se inició con niveles de Hbsuperiores a 10,5 g/dl con el fin de evitar la aparición deanemia por causa de tratamiento quimioterápico con derivadosde cisplatino (19 pacientes) o sin ellos (ochopacientes).
Estaindicación no se encuentra en las autorizadas enEspaña (ver nota al final del trabajo). Los 27 pacientesproceden de cinco hospitales, pero es de destacar que sólouno de ellos incluye a 19 pacientes. Esto es importante porquesupone un sesgo importante en la valoración de losresultados globales.
Las dosisiniciales de EPO son las habituales, 10.000 UI/ tres veces porsemana, pero es sorprendente que ya de entrada en nueve casos y sinfactores de riesgo aparentes se inicia con dosis superiores (20.000UI/tres veces por semana).
La edad medianade estos pacientes es de cincuenta y un (catorce-sesenta y ocho)años y solamente tres de ellos habían necesitadotransfusiones sanguíneas previas. En el transcurso deltratamiento quimioterápico y a pesar del uso de EPO, 10pacientes necesitaron transfusiones para mantener los niveles dehemoglobina. Los niveles iniciales de hemoglobina fueron de 12,3 +1,1 g/dl y el hematócrito de partida fue de 36,5 +5,1.
Lasuspensión del tratamiento con EPO se asoció anormalización de niveles de hemoglobina (> 12 g/dl) en 13casos, exitus en tres y a fin del tratamientoquimioterápico en ocho. A lo largo del tratamiento con EPO(mediana: ciento catorce días) los niveles de hemoglobinafinales fueron el 96,4 + 17% de los iniciales.
DISCUSIÓN
Laeritropoyetina es una alternativa válida para el tratamientode la anemia inducida por quimioterapia en pacientesoncológicos, especialmente cuando este tratamiento incluyecisplatino. Su utilización se asocia a un aumento de losniveles de hemoglobina y una disminución en losrequerimientos transfusionales de los pacientes. Ello se traduce enuna mejor calidad de vida en el paciente oncológico (5). Ennuestro estudio la respuesta a la EPO cuando se utiliza en eltratamiento de la anemia es del 59,1%, valor que coincide con datospublicados en la literatura (1, 3).
La EPO se hautilizado también con éxito en la prevenciónde la anemia en pacientes que van a ser sometidos a tratamientosquimioterápicos intensivos y en radioterapia. Sin embargo,el coste que supone su uso hace necesario seleccionar aquellospacientes susceptibles de beneficiarse del mismo, por lo que esimprescindible monitorizar periódicamente la respuesta altratamiento y encontrar factores predictivos de la respuesta (6,7). En nuestro estudio esta posibilidad se ha utilizado en un 29%de los pacientes.
Aunque existecierta controversia en cuanto a la dosis inicial de EPO, lomás frecuente es comenzar el tratamiento con 150 UI/kgadministrada tres veces por semana por vía subcutánea(8). Habitualmente esta dosis se redondea a la presentacióncomercial de 10.000 UI. Sin embargo, algún estudio sugiereque pueden ser igualmente efectivas dosis inferiores (9). Llama laatención que en nueve pacientes procedentes de un mismohospital se inicia el tratamiento con dosis superiores de 20.000UI.
En nuestroestudio la primera conclusión es que en los hospitalesparticipantes el cumplimiento del criterio de uso de EPOsegún las indicaciones autorizadas en España essólo de un 52% debido a un gran número de pacientesen los que la utilización de EPO se realiza con finespreventivos. Analizando en detalle estos resultados nos encontramosque la inmensa mayoría de prescripciones de EPO comoprofilaxis proceden de dos hospitales. Excluidos éstos, lapráctica habitual en el resto de hospitales participantes enel estudio se acerca más al criterio establecido (75%),siendo las desviaciones debidas a las diferencias encontradas en eluso de EPO junto con quimioterapia y si ésta contiene o noderivados de platino.
Los pacientesincluidos en el estudio son tratados fundamentalmente por serviciosde oncología y hematología. Sólo cinco deellos son tratados en un servicio de radioterapia, y en este casode manera profiláctica. El uso en radioterapia se basa enque la EPO permitiría teóricamente mejorar laoxigenación del tejido tumoral y, por tanto, aumentar losresultados terapéuticos de la radioterapia sobre ellos,disminuyendo al mismo tiempo los efectos secundarios (10). Estautilización, si bien avalada por algunos estudios, no puedeconsiderarse como correcta atendiendo a los criterios establecidosen este estudio.
Laduración mediana de los tratamientos con EPO entre losgrupos de pacientes respondedores y no respondedores es parecidacuando el objetivo terapéutico que se persigue es lacorrección de la anemia instaurada (54,2 frente a 52días). Teóricamente si un paciente no respondedurante las cuatro primeras semanas de tratamiento debe serreevaluado (11), aumentar la dosis de EPO y si al cabo de otrascuatro semanas no se obtiene respuesta suspender el tratamiento(4). Esto significa que la duración máximateórica de un tratamiento en el que no exista respuestaeficaz debe ser de cuarenta y ocho días. Aunque entérminos generales la mediana coincide con este valor, hayque tener en cuenta que en el estudio ha habido pacientes conduraciones mucho más elevadas, incluso de ciento sesenta yun días. Es necesario evaluar periódicamente estostratamientos porque puede caerse en el error de mantenerinnecesariamente un tratamiento prolongado en el tiempo que no a vaser eficaz.
En el caso delos pacientes en los que la EPO se utiliza con finesprofilácticos se observa que la duración mediana delos tratamientos es mucho mayor (ciento doce días demediana). Esto es lógico puesto que en este caso laadministración de EPO se mantiene a lo largo del tratamientoquimioterápico y sólo se suspende en caso dedisminuciones importantes de la hemoglobina o necesidad detransfusiones frecuentes, lo que evidenciaría una falta derespuesta a la EPO. Es evidente que en estos pacientes no existe unparámetro claro de evaluación de la respuesta, por loque lógicamente la duración del tratamiento resultaser más del doble que cuando se utiliza para el tratamientode la anemia.
Aunque se havisto la capacidad de la EPO para prevenir la anemia en pacientesoncológicos (12), en este caso la pregunta a respondersería la siguiente: ¿todos estos pacientes seencuentran en riesgo de sufrir una anemia por cáncer?Existen algunas revisiones en la literatura en las que secuantifica este riesgo en función del tipo de tumor y deltipo de esquema terapéutico a utilizar. Entre los pacientescon tumores sólidos los pacientes con cáncer depulmón u ovárico son los más propensos adesarrollar anemia (52 y 51%), respectivamente, y, por tanto, soncandidatos a requerir un mayor número de transfusionessanguíneas (28 y 25%) (2), aunque en otros estudios esteporcentaje es significativamente menor (5%) (13). Otro grupo depacientes con alto riesgo de desarrollar anemia son aquellos queparten de niveles bajos de hemoglobina (10-12 g/dl) al comienzo dela quimioterapia (7). Otro factor que influye en gran medida es eltipo de quimioterapia utilizado. El mecanismo por el que elcisplatino induce anemia parece relacionado, además de porla mielosupresión que se produce, por una disminuciónen la producción endógena de EPO relacionada condaño en los túbulos renales. Por ello, los pacientesque reciben cisplatino desarrollan frecuentemente anemia hasta elpunto que las necesidades de transfusión en estos pacientespuede ser del 47 hasta el 100%, según la dosis acumulada decisplatino y la presencia de otros factores de riesgo como nivelesiniciales bajos de hemoglobina, descensos de 1-2 g/dl tras elprimer ciclo de tratamiento, edad avanzada y enfermedad avanzada(14). En pacientes que no reciben cisplatino, niveles iniciales dehemoglobina inferiores a 10,5 g/dl o disminuciones superiores a 1,5g/dl tras el primer ciclo parecen predictivos de la respuesta(15).
La eficaciaglobal del uso de EPO en nuestro estudio es del 59,1% cuando seutiliza como tratamiento de la anemia por quimioterapia. Este datocoincide con el publicado en algunos estudios (14, 16) y reflejaque a pesar de que teóricamente la EPO administrada debeaumentar los niveles endógenos de eritropoyetina, esto nosiempre es así. Existe un número de pacientes en losque la administración de EPO no conseguirá corregirla anemia. Por ello es necesario responder a la siguiente pregunta:¿resulta coste-efectivo tratar con EPO a todos los pacientessometidos a quimioterapia? La EPO resulta coste-efectiva cuando laefectividad se mide en función del nivel de hemoglobina o ala calidad de vida del paciente (12, 17). Sin embargo, cuando seutiliza como unidad de medida los años de vida ajustados acalidad no es así. Esto es lógico puesto que altratarse de un tratamiento de soporte este parámetro notiene mucho sentido (18). Sin embargo, es obvio que de lainformación disponible se desprende que el uso de la EPO nodebe aconsejarse rutinariamente, al menos en pacientes que nopresenten otros factores de riesgo añadidos, por lo que esaconsejable la elaboración de protocolos y guías depráctica clínica para la utilización racionalde la EPO (5, 19).
Cuando la EPO seutiliza en profilaxis se consigue el objetivo terapéutico,ya que en nuestro estudio los niveles finales de hemoglobinaresultan ser prácticamente los de partida, aunque no seevita la transfusión sanguínea que se utiliza en el37% de estos pacientes.
Los efectosadversos relacionados con la EPO son mínimos. Sólo serecoge un caso de mala tolerancia con náuseas y asteniaintensa. A pesar de que sabemos que los efectos adversos leveshabitualmente no son registrados en las historias clínicas,la EPO se considera como un fármaco seguro incluso cuando seadministra a pacientes ancianos (20, 21).
En cuanto alporcentaje de enfermos tratados con EPO en el contexto global delos pacientes oncológicos, no se ha cuantificado, ya que noera el objetivo inicial del estudio. Dadas lascaracterísticas de los hospitales participantes en elestudio, aquellos que aportan un mayor número de pacientesson también los de mayor nivel asistencial y desarrollo. Sinembargo, 92 pacientes en 15 hospitales a lo largo de nueve meses deestudio permite afirmar que son muy pocos con relación alnúmero total de pacientes oncológicos atendidos enestos mismos hospitales. Es decir, existe una selecciónprevia de los pacientes susceptibles de beneficiarse con el uso dela EPO, aunque se ha visto que los criterios de selección depacientes no son homogéneos en todos ellos. Otros factorescomo la dosis inicial, el momento óptimo para iniciar eltratamiento con EPO y los mejores factores predictivos de larespuesta todavía no se encuentran establecidos.
Concluimosindicando lo siguiente:
-- Los criteriosde utilización en los hospitales según lasindicaciones autorizadas en España se cumplen en un 52% delos casos. Sin embargo, estos criterios no son homogéneos entodos los hospitales, existiendo desviaciones importantes en algunode ellos.
-- Laeritropoyetina es una alternativa a la transfusiónsanguínea como tratamiento de la anemia en pacientesoncológicos. La respuesta obtenida en estos pacientes es del59,1%.
-- Los nivelesde hemoglobina a las cuatro semanas de iniciado el tratamiento secomportan como un factor predictivo de la respuesta a la EPO cuandose utiliza en tratamiento de la anemia. Es importante establecerprotocolos de utilización y evaluar periódicamentelos resultados terapéuticos.
-- El uso de laEPO en profilaxis no puede recomendarse como rutinario. Esnecesario establecer criterios de selección de pacientes ymonitorizar estrechamente los resultados.
-- Larealización de estudios como éste nos permiteestablecer los perfiles reales de uso de los medicamentos en loshospitales y detectar diferencias entre ellos. Estos estudiosconstituyen un punto de partida importante para que elfarmacéutico de hospital colabore con los serviciosclínicos para la mejora de la calidad asistencial y laracionalización de los recursos terapéuticosdisponibles.
NOTA
Una vezconcluida la redacción de este trabajo se ha conocido laaprobación en Europa (y después en España) denuevas indicaciones de eritropoyetina, ampliando su uso para eltratamiento de la anemia y para disminuir los requerimientostransfusionales en pacientes adultos sometidos a quimioterapia parael tratamiento de tumores sólidos, linfoma maligno o mielomamúltiple y en los que la valoración del estadogeneral indique riesgo de transfusión. Sin embargo, no hemosmodificado las conclusiones y discusión del trabajo, puestoque cuando se recogieron los datos la indicación de uso deEPO era la descrita en el mismo.

















